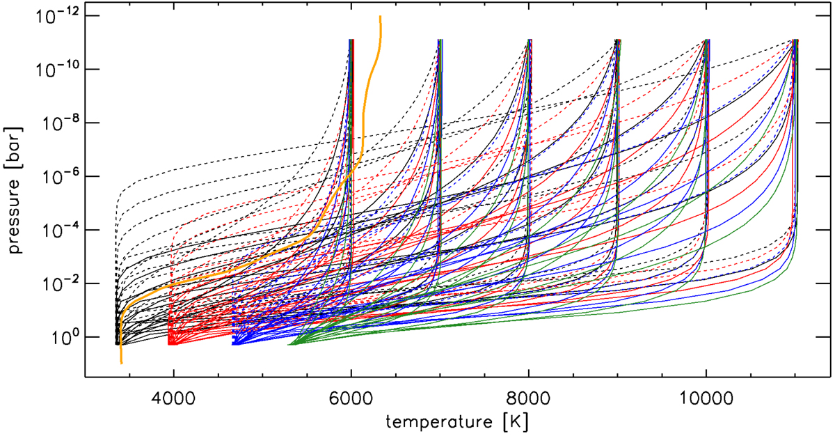
Fig. 2

Empirical TP profiles used as input for the spectral synthesis calculations. Black, red, blue, and green lines identify the models having a lower temperature, at the bottom of the atmosphere, close to 3500, 4000, 4750, and 5500 K, respectively. Solid lines are for profiles computed setting κ equal to 2.5, while dashed lines are for profiles computed setting κ equal to 3.1 The thick orange line shows the TP profile obtained for KELT-9b using PHOENIX.
Current usage metrics show cumulative count of Article Views (full-text article views including HTML views, PDF and ePub downloads, according to the available data) and Abstracts Views on Vision4Press platform.
Data correspond to usage on the plateform after 2015. The current usage metrics is available 48-96 hours after online publication and is updated daily on week days.
Initial download of the metrics may take a while.