Open Access
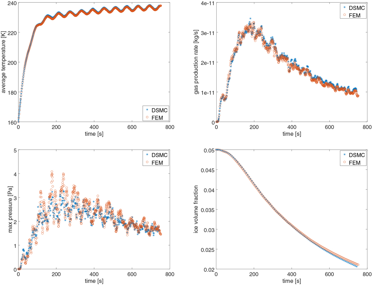
Fig. 3

Comparisons between thermal modelling results obtained by using the DSMC and FEM solutions for gas transport. The test particle has an irregular shape, with the volume equivalent radius of 0.5 mm. The surface-to-volume ratio was set to S = 1 m−1.
Current usage metrics show cumulative count of Article Views (full-text article views including HTML views, PDF and ePub downloads, according to the available data) and Abstracts Views on Vision4Press platform.
Data correspond to usage on the plateform after 2015. The current usage metrics is available 48-96 hours after online publication and is updated daily on week days.
Initial download of the metrics may take a while.