Open Access
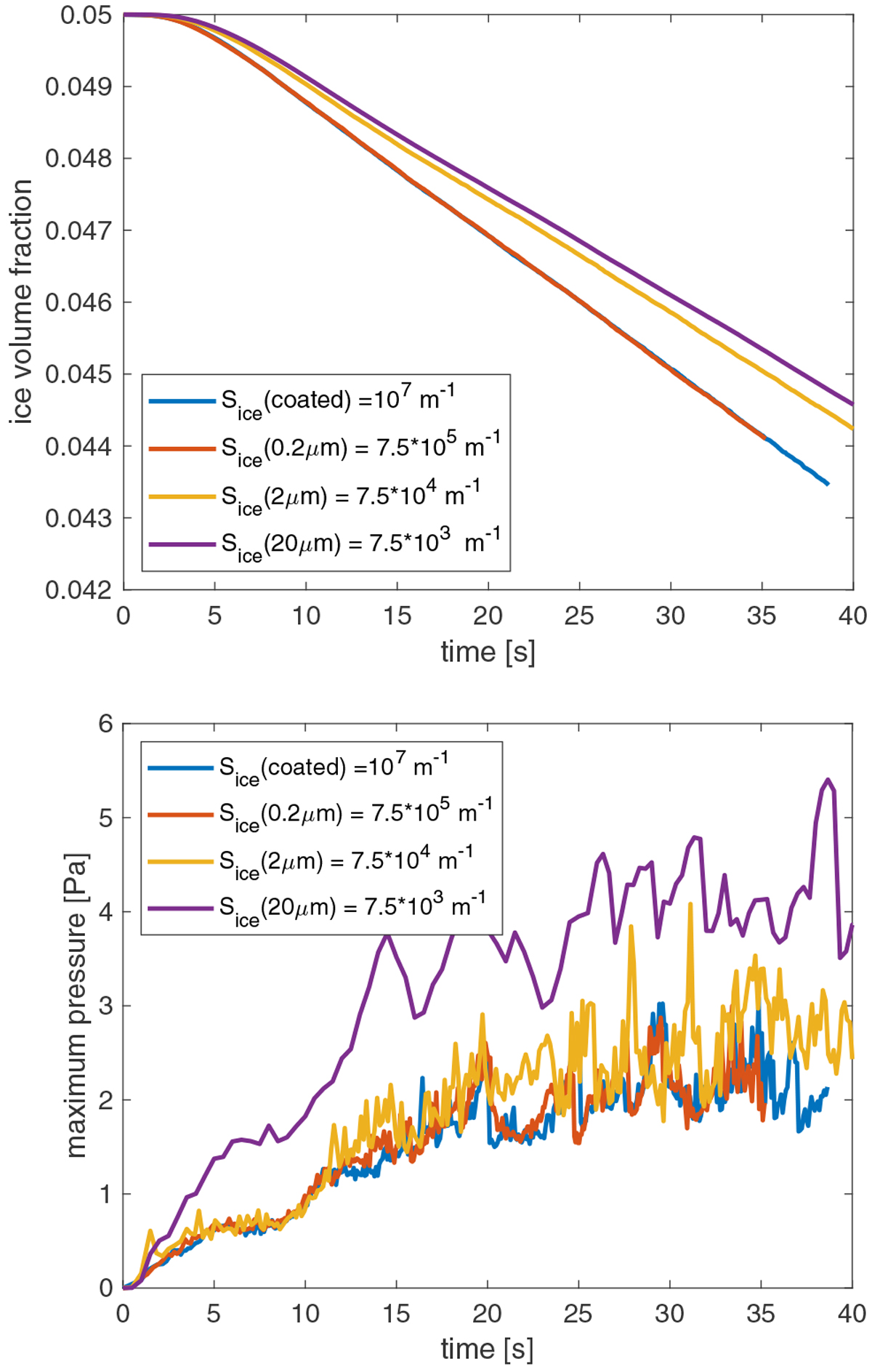
Fig. 8

Ice volume fraction and the maximum pressure as a function of time computed for varying ice surface-to-volume ratios, Sice, corresponding to fully coated dust grains, and ice grains of sizes 0.2 μm, 2 μm, and 20 μm uniformly mixed with dust grains.
Current usage metrics show cumulative count of Article Views (full-text article views including HTML views, PDF and ePub downloads, according to the available data) and Abstracts Views on Vision4Press platform.
Data correspond to usage on the plateform after 2015. The current usage metrics is available 48-96 hours after online publication and is updated daily on week days.
Initial download of the metrics may take a while.