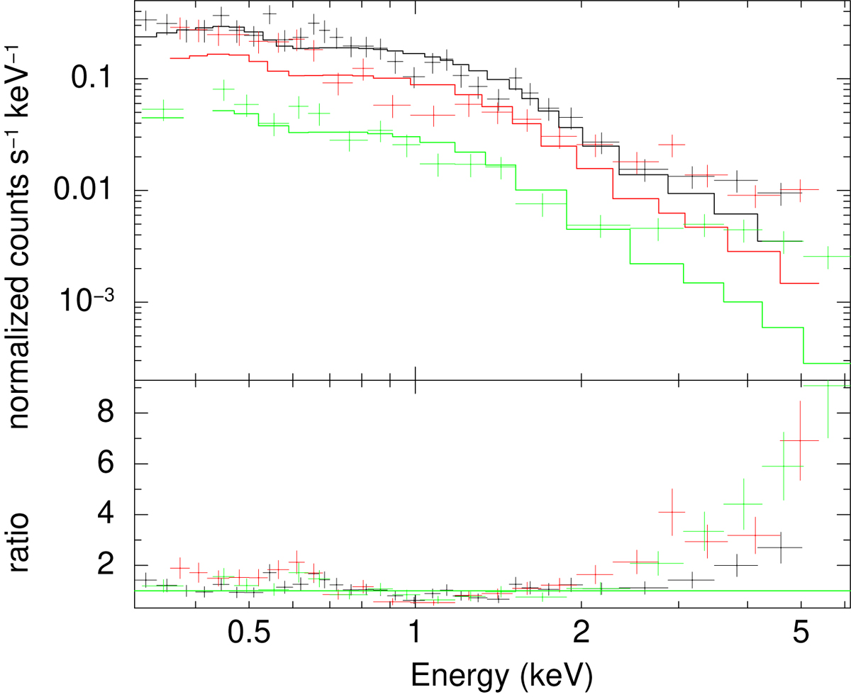
Fig. 3.

Selected Swift spectra of Mrk 335 in 2020 May–July. The 2020 June high state is plotted in black, an intermediate state from June 2 and 3 in red, and a low state from 2020 (data from May 16, 23, and 27, and June 7) in green. All spectra are fit with a single power-law model with Galactic absorption, which displays strong fit residuals especially at low and high energies.
Current usage metrics show cumulative count of Article Views (full-text article views including HTML views, PDF and ePub downloads, according to the available data) and Abstracts Views on Vision4Press platform.
Data correspond to usage on the plateform after 2015. The current usage metrics is available 48-96 hours after online publication and is updated daily on week days.
Initial download of the metrics may take a while.