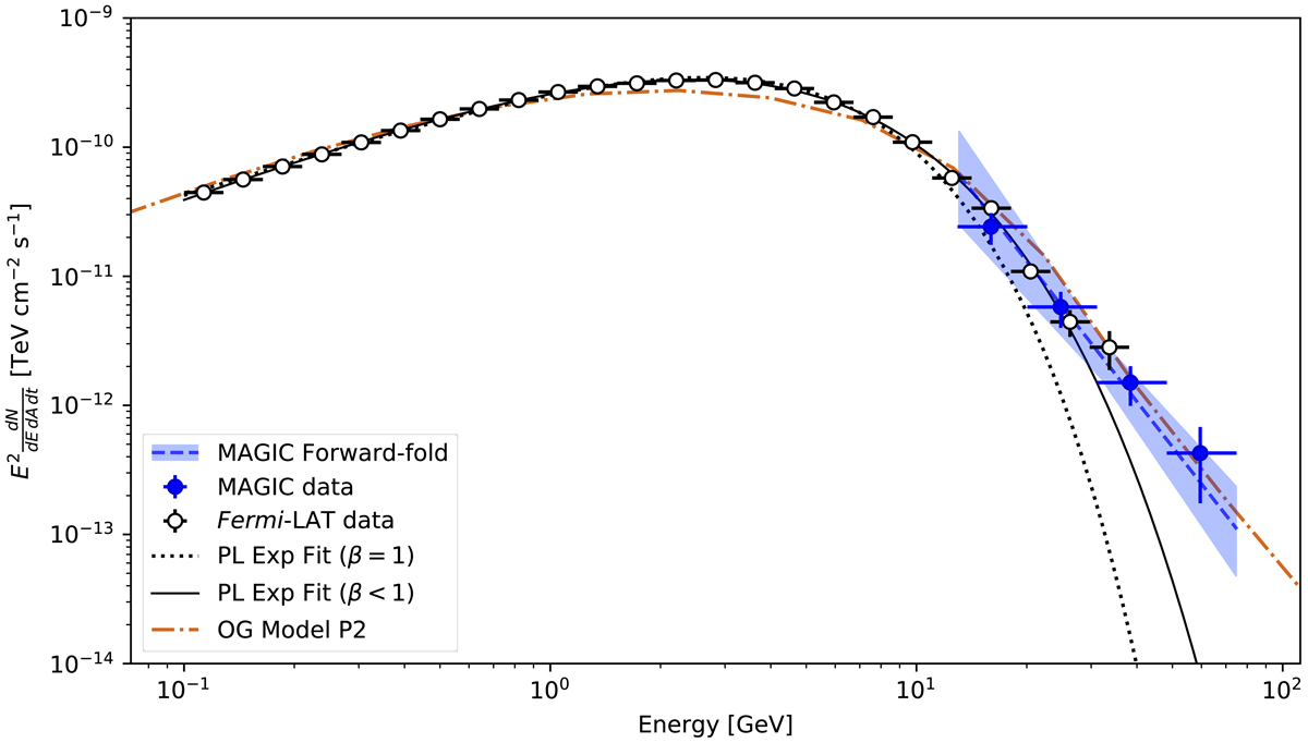
Fig. 2.

SED of the second emission peak, P2, of the Geminga pulsar measured by the MAGIC telescopes (filled circles) and the Fermi-LAT (open circles). The MAGIC spectral points were calculated by unfolding the reconstructed energy spectrum by means of the Tikhonov regularisation method. Dashed blue line shows the forward folding fit to the MAGIC data assuming a power law and the blue-shaded area represents the 1σ confidence interval around the power-law fit. Dotted and continuous black lines represent the combined fit to MAGIC and Fermi-LAT data to a power law with an exponential or sub-exponential cutoff, respectively. Dotted-dashed orange line shows the P2 spectrum predicted in the stationary outer gap model applied to Geminga for a magnetic dipole moment μ = 1.4 μd, an angle between the magnetic and the rotational axis of the star, α = 30°, and an observer’s viewing angle, ζ = 95°.
Current usage metrics show cumulative count of Article Views (full-text article views including HTML views, PDF and ePub downloads, according to the available data) and Abstracts Views on Vision4Press platform.
Data correspond to usage on the plateform after 2015. The current usage metrics is available 48-96 hours after online publication and is updated daily on week days.
Initial download of the metrics may take a while.