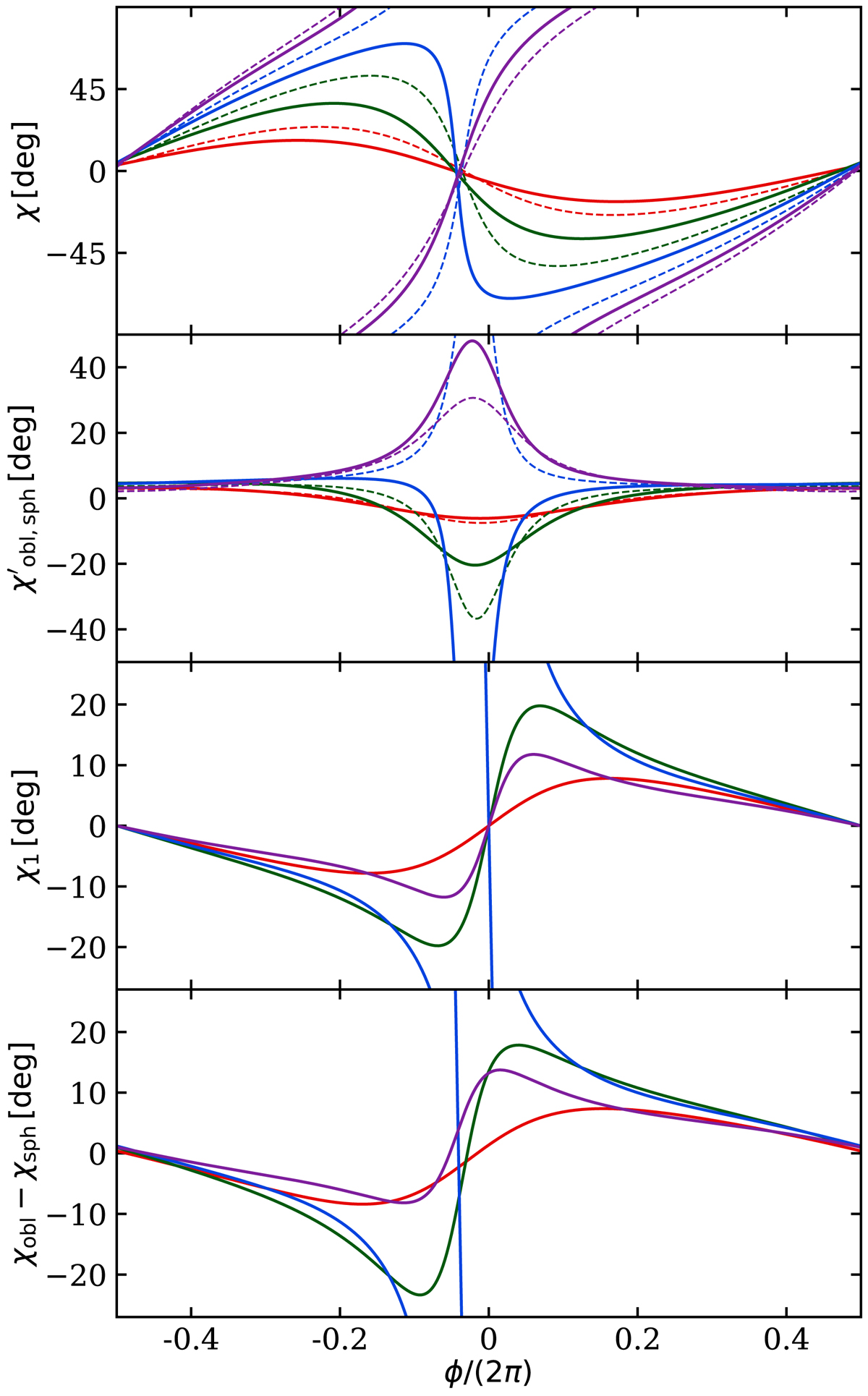
Fig. 2.

Top panel: polarization angles computed for the spherical (dashed) and the oblate (solid) star as a function of the rotation phase ϕ for different spot co-latitudes θ = 15° (red), 30° (green), 45° (blue), and 60° (purple). Second panel: relativistic rotation for the spherical (dashed) and the oblate (solid) stars. Third panel: component χ1 for the oblate star. Bottom panel: difference between the PAs for the oblate and spherical stars. Parameters of the non-rotating NS are R0 = 12 km and M0 = 1.4 M⊙, while in the oblate case of a NS rotating at a rate of ν* = 600 Hz, the mass and radius are computed according to Eqs. (6) and (5). The inclination is i = 40°.
Current usage metrics show cumulative count of Article Views (full-text article views including HTML views, PDF and ePub downloads, according to the available data) and Abstracts Views on Vision4Press platform.
Data correspond to usage on the plateform after 2015. The current usage metrics is available 48-96 hours after online publication and is updated daily on week days.
Initial download of the metrics may take a while.