Free Access
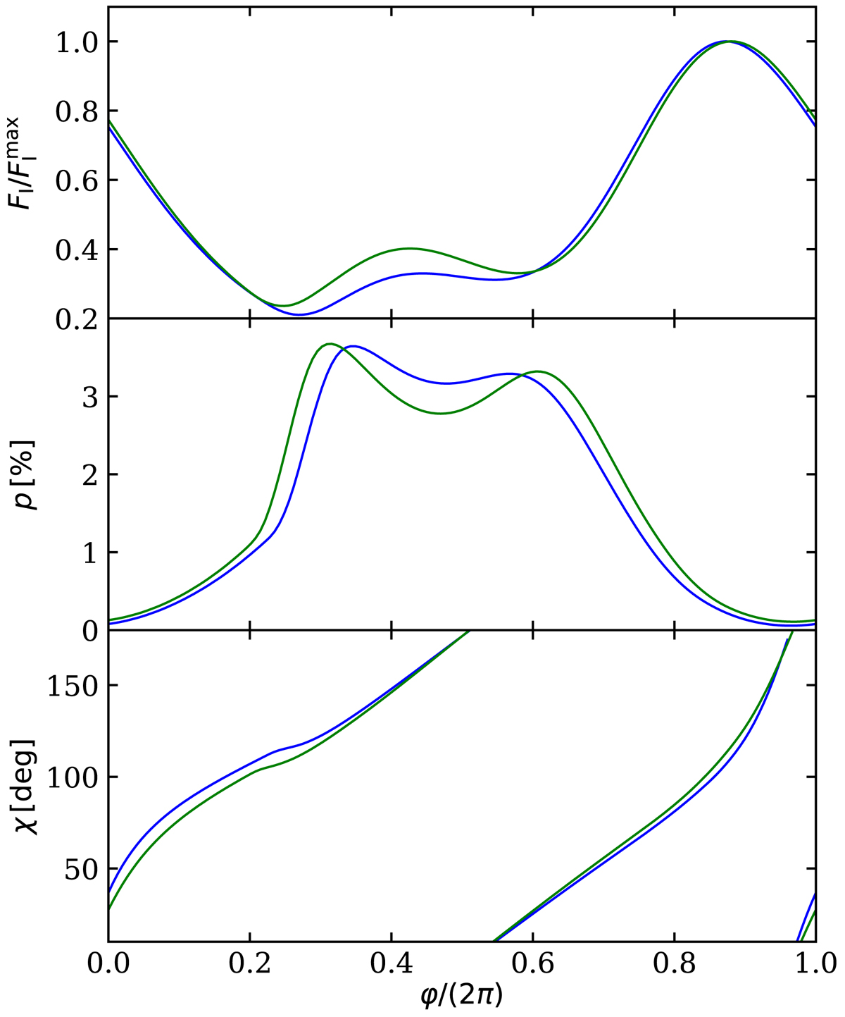
Fig. 9.

Flux (top panel), PD (middle panel), and PA (bottom panel) as a function of observed phase for an oblate (in blue) and spherical (in green) NS with identical model parameters at 5 keV (given in Sect. 3.3). For the spherical star corresponding non-rotating mass and radius are used: M0 = 1.394 M⊙ and R0 = 11.43 km.
Current usage metrics show cumulative count of Article Views (full-text article views including HTML views, PDF and ePub downloads, according to the available data) and Abstracts Views on Vision4Press platform.
Data correspond to usage on the plateform after 2015. The current usage metrics is available 48-96 hours after online publication and is updated daily on week days.
Initial download of the metrics may take a while.