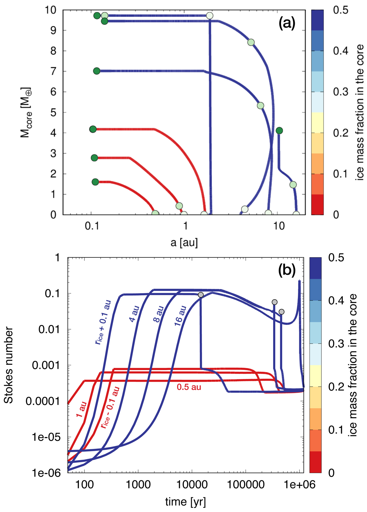
Fig. 1.

Top panel: formation tracks corresponding to disc 1 (see Appendix B), Z0 = 0.0144, and α = 10−4. The white and green circles indicate the times 0.012 Myr, 0.25 Myr, and 2 Myr. The 0.25 Myr circle of the core starting its formation just inside the ice line is below the 2 Myr circle. Miso is reached in each simulation when Mcore stops growing. The core growing in a vertical line grows so fast that it practically does not migrate before reaching Miso. Bottom panel: evolution of the Stokes number at the planet location for the seven cases shown in the top panel. The labels indicate the initial semi-major axis. The grey circles show the time when planets enter the region r < rice.
Current usage metrics show cumulative count of Article Views (full-text article views including HTML views, PDF and ePub downloads, according to the available data) and Abstracts Views on Vision4Press platform.
Data correspond to usage on the plateform after 2015. The current usage metrics is available 48-96 hours after online publication and is updated daily on week days.
Initial download of the metrics may take a while.