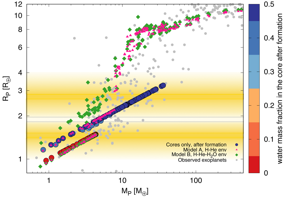
Fig. 5.

Mass-radius of all the planets with final orbital period within 100 days. Filled circles with colour (indicating the water mass fraction of the core after formation) correspond to the mass-radius of the cores of the planets (i.e. the envelope is neglected). The radius is calculated following Zeng et al. (2019) for this case. Magenta triangles show the results of evaporation of H-He after formation. Green diamonds show the same, but assuming mass-loss of H, He, and H2O. Grey small circles are true exoplanets with orbital periods of less than 100 days, planet radius below 12 R⊕, error on radius of less than 20%, and error on mass of less than 75% (taken from the NASA Exoplanet Archive, July 14, 2020). Yellow shaded areas highlight the two-modes of the Kepler size distribution, with darker tones towards the peaks. The gap is delimited by the grey horizontal lines for 1.82 ≤ RP ≤ 1.96, following Martinez et al. (2019).
Current usage metrics show cumulative count of Article Views (full-text article views including HTML views, PDF and ePub downloads, according to the available data) and Abstracts Views on Vision4Press platform.
Data correspond to usage on the plateform after 2015. The current usage metrics is available 48-96 hours after online publication and is updated daily on week days.
Initial download of the metrics may take a while.