Free Access
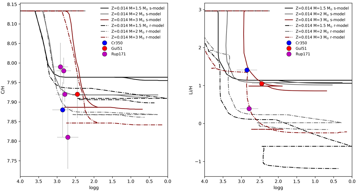
Fig. 10.

C/H and Li/H versus log g. The circles are the stars of our sample and the curves are the theoretical models by Lagarde et al. (2012). Continuous lines are the standard models with masses of 1.5, 2, 3 M⊙, and dashed lines are the models with rotation-induced extra-mixing for the same masses.
Current usage metrics show cumulative count of Article Views (full-text article views including HTML views, PDF and ePub downloads, according to the available data) and Abstracts Views on Vision4Press platform.
Data correspond to usage on the plateform after 2015. The current usage metrics is available 48-96 hours after online publication and is updated daily on week days.
Initial download of the metrics may take a while.