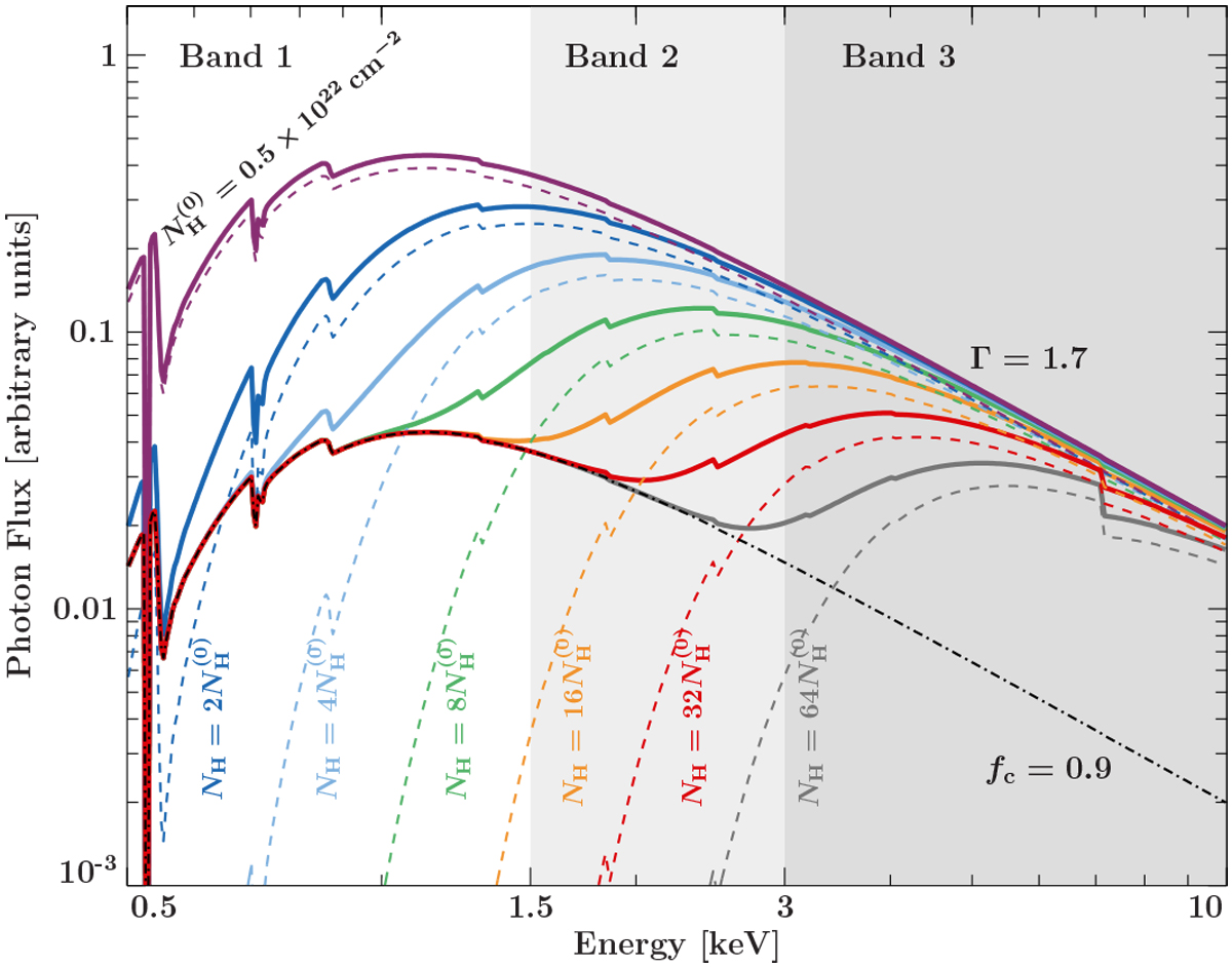
Fig. 1

Principle demonstration of the effect of a variable partial covering absorption on an absorbed powerlaw with photon index Γ = 1.7 and ISM absorption . We assume a covering fraction of 0.9 and a varying equivalent hydrogen column density,
NH, of the partialcoverer, ranging from
, implying only ISM absorption, to
. The uncovered fraction (here, 1 − fc = 0.1), is shown as a black dash-dotted line. The covered, absorbed component is shown in dashed lines, with colors corresponding to different NH. The sum of the covered and uncovered fractions is shown in the solid colored lines. With increasing
NH of the partial coverer, we first see a diminution primarily of Band 1. The partial covering fraction leads to a “floor” for the flux value in band 1, while band 2 and band 3 continue to decrease with an increasing column. This illustration follows a similar illustration in Hirsch et al. (2019).
Current usage metrics show cumulative count of Article Views (full-text article views including HTML views, PDF and ePub downloads, according to the available data) and Abstracts Views on Vision4Press platform.
Data correspond to usage on the plateform after 2015. The current usage metrics is available 48-96 hours after online publication and is updated daily on week days.
Initial download of the metrics may take a while.