Free Access

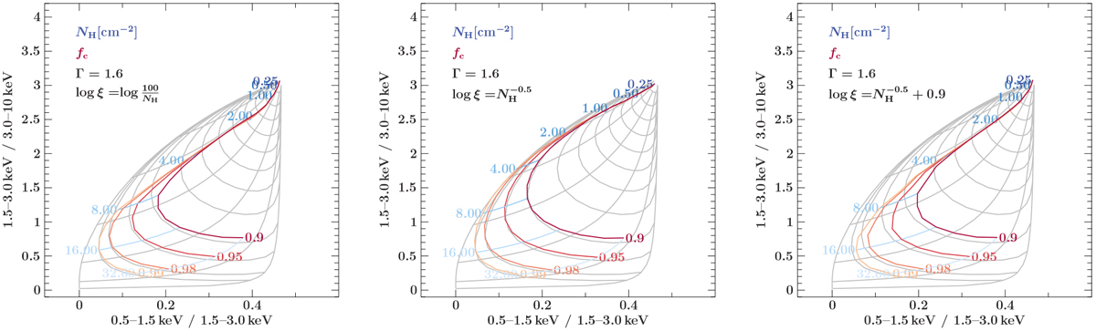
Fig. 7

image

Imhomogeneos warm absorber grids for HETG-MEG with typical Cyg X-1 continuum parameters for different dependencies of the ionization parameter logξ on the equivalent hydrogen column density of the absorber, NH, as expressed in units of 1022 cm−2. In all cases, a grid for the quasi-neutral absorption with warmabs (logxi = −4) is shown in gray in the background to guide the eye. Left: Case 1, . Middle: L Case 2, . Right: Case 3, .

Current usage metrics show cumulative count of Article Views (full-text article views including HTML views, PDF and ePub downloads, according to the available data) and Abstracts Views on Vision4Press platform.

Data correspond to usage on the plateform after 2015. The current usage metrics is available 48-96 hours after online publication and is updated daily on week days.

Initial download of the metrics may take a while.