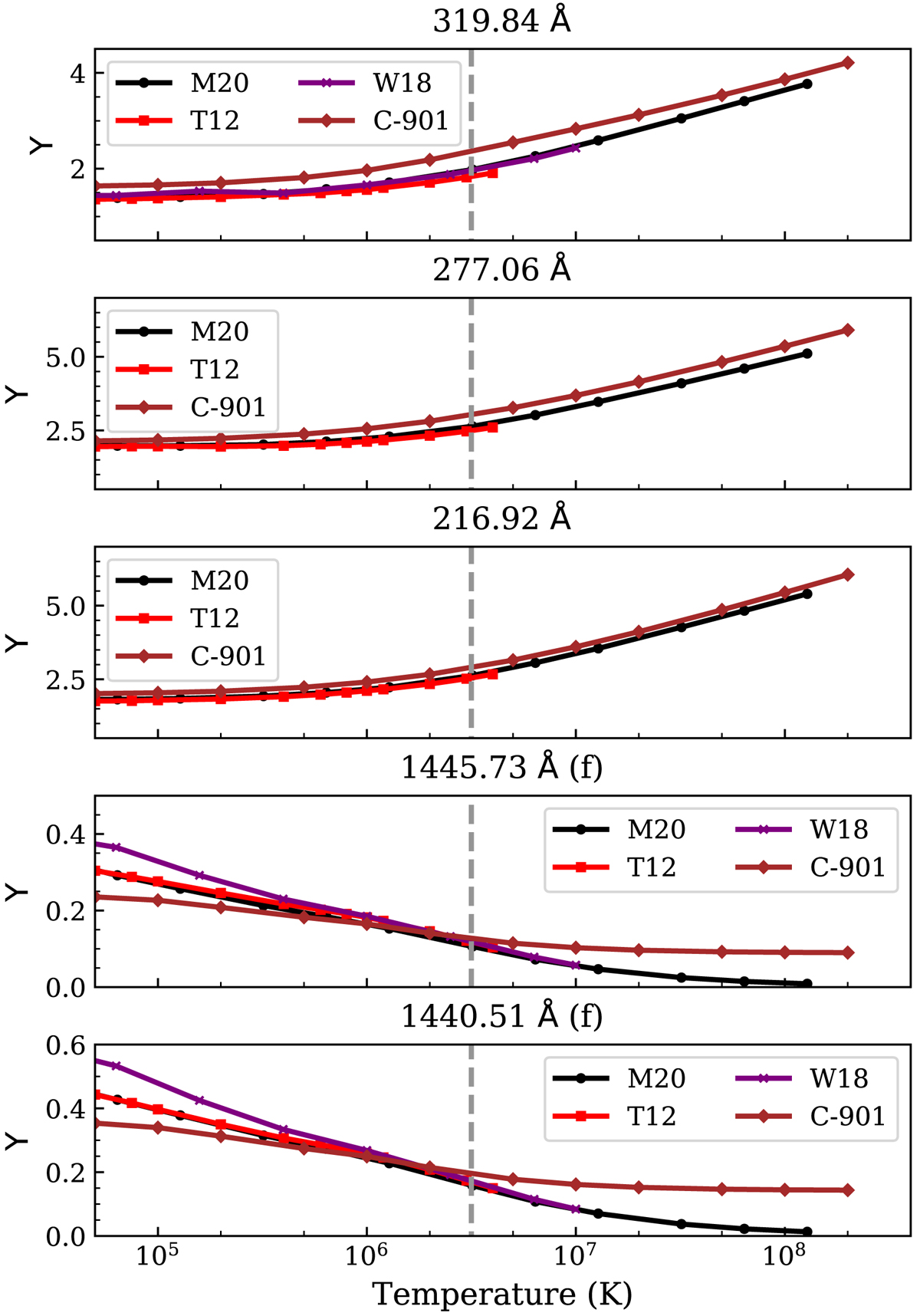
Fig. 12.

Comparison of Si VIII (or Si7+) effective collision strengths between the present work (M20), Tayal (2012, T12), Wang et al. (2018, W18), and Bell et al. (2001) as incorporated in the CHIANTI atomic database v9.0.1 (C-901) for selected transitions listed in Table 4. The top panel is a dipole transition from the ground level, followed by two metastable transitions. The bottom two panels are forbidden transitions from the ground level to the first two metastable levels. The vertical dashed lines indicate the upper temperature limit originally provided by Bell et al. (2001). The brown diamonds beyond this temperature limit are extrapolated in CHIANTI.
Current usage metrics show cumulative count of Article Views (full-text article views including HTML views, PDF and ePub downloads, according to the available data) and Abstracts Views on Vision4Press platform.
Data correspond to usage on the plateform after 2015. The current usage metrics is available 48-96 hours after online publication and is updated daily on week days.
Initial download of the metrics may take a while.