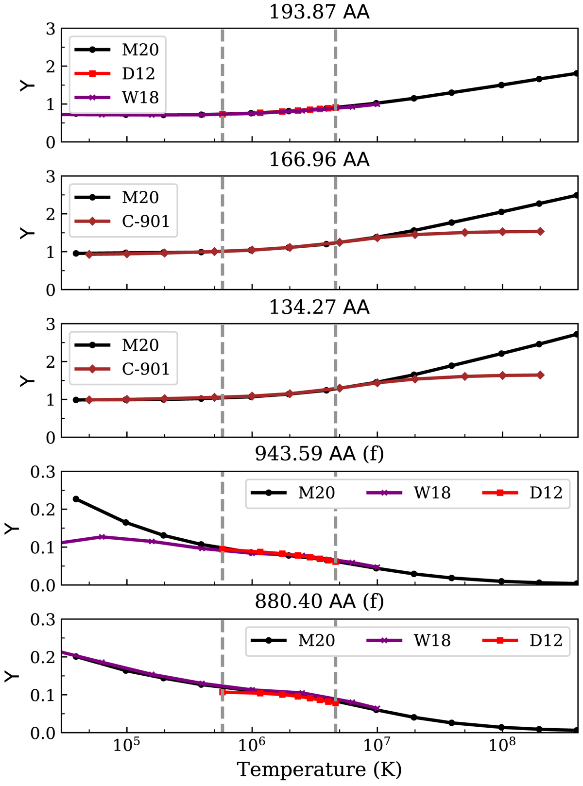
Fig. 5.

Comparison of Ca XIV (or Ca13+) effective collision strengths between the present work (M20), Dong et al. (2012, D12), and Wang et al. (2018, W18) for selected transitions listed in Table 4. The top panel is a dipole transition from the ground level. For the two dipole metastable transitions (in the second and third panels from the top), effective collision strengths C-901 are obtained directly from the CHIANTI atomic database. The vertical dashed lines indicate the temperature range originally provided by Dong et al. (2012). The brown diamonds outside this temperature range are extrapolated data in CHIANTI. The bottom two panels are forbidden transitions from the ground level to the first two metastable levels.
Current usage metrics show cumulative count of Article Views (full-text article views including HTML views, PDF and ePub downloads, according to the available data) and Abstracts Views on Vision4Press platform.
Data correspond to usage on the plateform after 2015. The current usage metrics is available 48-96 hours after online publication and is updated daily on week days.
Initial download of the metrics may take a while.