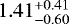
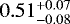
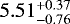
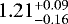
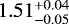
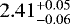
Table 3
Synopsis of derived quantities.
Source | υLSR Range | RGAL (a) | N(ArH +) | N(OH +) | N(p -H2O +) | N(o-H2O+) | H2O+ | N(HI) | ![]() |
ζp(H) | |
---|---|---|---|---|---|---|---|---|---|---|---|
(km s−1) | (kpc) | (1012 cm−2) | (1014 cm−2) | (1013 cm−2) | (1013 cm−2) | OPR | (1021 cm−2) | OH+ (b) | CH(c) | (10−16 s−1) | |
AG10.472 | (− 35, 0) | 10.82 | ![]() |
![]() |
– | ![]() |
– | ![]() |
<0.019 | ![]() |
<4.52 |
+00.027 | (0, 48) | 5.56 | ![]() |
![]() |
>1.05 | ![]() |
<3.26 | ![]() |
>0.031 | ![]() |
>4.52 |
(48, 77)(d) | 3.50 | ![]() |
![]() |
– | ![]() |
– | ![]() |
>0.005 | ![]() |
>2.48 | |
(77, 105) | 3.12 | ![]() |
![]() |
– | – | – | ![]() |
– | ![]() |
– | |
(105, 138) | 2.38 | ![]() |
![]() |
– | – | – | ![]() |
– | ![]() |
– | |
(138, 190) | 1.48 | – | ![]() |
– | ![]() |
– | ![]() |
![]() |
![]() |
![]() |
|
AG19.609 | (− 12, 16) | 8.04 | ![]() |
– | ![]() |
– | – | ![]() |
– | – | – |
−00.234 | (16, 35) | 6.75 | ![]() |
– | ![]() |
![]() |
![]() |
![]() |
– | – | – |
(35, 60)(d) | 4.50 | ![]() |
– | – | ![]() |
– | ![]() |
– | – | – | |
(60, 87) | 4.34 | ![]() |
– | – | ![]() |
– | ![]() |
– | – | – | |
(87, 105) | 3.32 | ![]() |
– | – | ![]() |
– | ![]() |
– | – | – | |
(105, 115) | 3.01 | ![]() |
– | – | ![]() |
– | ![]() |
– | – | – | |
(115, 135) | 2.73 | – | – | ![]() |
![]() |
![]() |
![]() |
– | – | – | |
AG31.412 | (− 8, 31)(*) | 7.05 | ![]() |
![]() |
![]() |
![]() |
![]() |
![]() |
![]() |
– | ![]() |
+00.307 | (31, 46)(*) | 6.39 | ![]() |
![]() |
– | <0.05 | – | ![]() |
![]() |
– | ![]() |
(46, 65)(*) | 5.49 | ![]() |
![]() |
>0.08 | ![]() |
<1.13 | ![]() |
![]() |
– | ![]() |
|
(65, 88)(*) | 4.71 | ![]() |
![]() |
![]() |
![]() |
![]() |
![]() |
![]() |
– | ![]() |
|
(88, 108)(d,*) | 4.64 | ![]() |
![]() |
– | ![]() |
– | ![]() |
>0.776 | – | >1.08 | |
AG330.954 | (− 130, −74)(d) | 4.43 | >1.24 | ![]() |
– | ![]() |
– | ![]() |
![]() |
![]() |
![]() |
−00.182 | (− 74, −57) | 4.92 | ![]() |
![]() |
– | ![]() |
– | ![]() |
>0.026 | ![]() |
>1.62 |
(− 57, −32) | 5.78 | ![]() |
![]() |
![]() |
![]() |
![]() |
![]() |
![]() |
![]() |
![]() |
|
(− 32, −10) | 7.03 | ![]() |
![]() |
![]() |
![]() |
![]() |
![]() |
![]() |
![]() |
![]() |
|
(− 10, 20) | 8.54 | – | ![]() |
– | ![]() |
– | ![]() |
>0.058 | ![]() |
![]() |
|
AG332.826 | (− 85, −33)(d) | 5.30 | – | ![]() |
– | ![]() |
– | ![]() |
![]() |
![]() |
![]() |
−00.549 | (− 33, −12) | 7.02 | ![]() |
![]() |
– | ![]() |
– | ![]() |
>0.24 | ![]() |
>2.04 |
(− 12, 20) | 8.67 | ![]() |
![]() |
![]() |
![]() |
![]() |
![]() |
![]() |
![]() |
![]() |
|
AG337.704 | (− 145, −110) | 3.12 | ![]() |
![]() |
![]() |
![]() |
![]() |
![]() |
![]() |
– | ![]() |
−00.054 | (− 110, −97) | 3.25 | ![]() |
![]() |
– | ![]() |
– | ![]() |
![]() |
– | ![]() |
(− 97, −80) | 3.73 | ![]() |
![]() |
![]() |
![]() |
![]() |
![]() |
–(e) | – | – | |
(− 80, −65) | 4.43 | ![]() |
![]() |
![]() |
![]() |
![]() |
![]() |
![]() |
– | ![]() |
|
(− 65, −45)(d) | 5.17 | ![]() |
![]() |
– | ![]() |
– | ![]() |
![]() |
– | ![]() |
|
(− 45, −25) | 5.29 | ![]() |
![]() |
– | ![]() |
– | ![]() |
![]() |
– | ![]() |
|
(− 25, −13) | 6.91 | ![]() |
![]() |
– | ![]() |
– | ![]() |
>0.048 | – | ![]() |
|
(− 13, 7) | 8.62 | ![]() |
![]() |
– | ![]() |
– | ![]() |
>0.026 | – | ![]() |
|
AG351.581 | (− 120, −70)(d) | 1.66 | ![]() |
![]() |
– | ![]() |
– | ![]() |
![]() |
![]() |
![]() |
−00.352 | (− 70, −39) | 3.18 | ![]() |
![]() |
– | ![]() |
– | ![]() |
>0.554 | ![]() |
![]() |
(− 39, −7) | 4.50 | ![]() |
![]() |
![]() |
![]() |
![]() |
![]() |
![]() |
![]() |
![]() |
|
(− 7, 25) | 9.74 | – | ![]() |
![]() |
![]() |
![]() |
![]() |
![]() |
![]() |
![]() |
Notes. (a) The galactocentric distance for each velocity interval is computed using, RGAL =
, with
R0 = 8.15 kpc,
Θ0 = 247 km s−1
(Reid et al. 2019) and assuming a flat Galactic rotation curve, i.e.,
Θ(RGAL) = Θ0 for
RGAL > 5 kpc. We used the BeSSeL distance calculator, to both cross-check and determine lower
RGAL values. The distances are computed at the mean velocity within each velocity interval.
(b,c) Represent
values derived using Eqs. (4) and (3), respectively. Where
H2 column densities for the latter are determined from those of CH (Jacob et al. 2019) using [CH]/[H2] =
(Sheffer et al. 2008). (d)Indicates the velocity intervals corresponding to the molecular cloud.
(e) Faces a singularity as the denominatorapproaches 0. (*)Represents velocity intervals with low signal-to-noise ratios, for which molecular hydrogen fractions are calculated using the upper limits of the derived N(OH+) values.
Current usage metrics show cumulative count of Article Views (full-text article views including HTML views, PDF and ePub downloads, according to the available data) and Abstracts Views on Vision4Press platform.
Data correspond to usage on the plateform after 2015. The current usage metrics is available 48-96 hours after online publication and is updated daily on week days.
Initial download of the metrics may take a while.