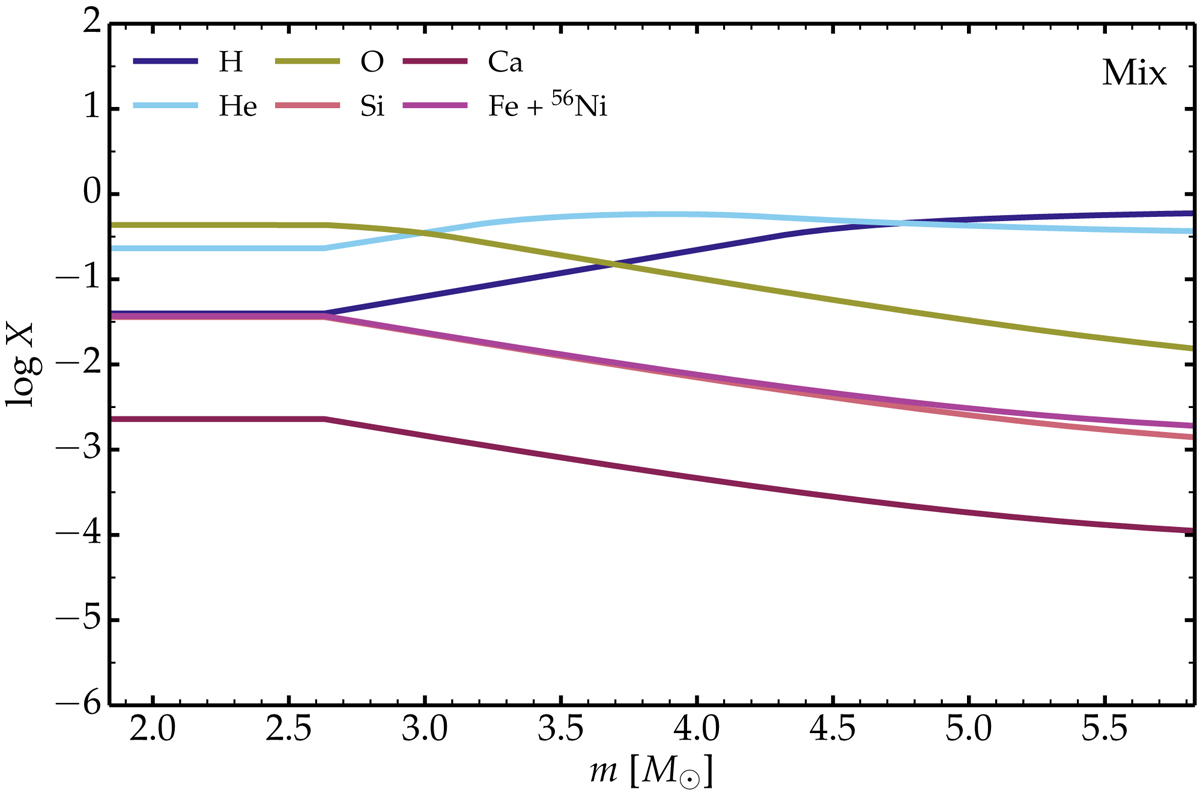
Fig. 2.

Counterpart to the right panel of Fig. 1, but now using the old, standard, approach for mixing in which the chemical mixing is microscopic and macroscopic and applied to all species (see, e.g., Dessart et al. 2015). The complex composition profiles of Fig. 1 are completely lost with this simplistic and indiscriminate mixing technique.
Current usage metrics show cumulative count of Article Views (full-text article views including HTML views, PDF and ePub downloads, according to the available data) and Abstracts Views on Vision4Press platform.
Data correspond to usage on the plateform after 2015. The current usage metrics is available 48-96 hours after online publication and is updated daily on week days.
Initial download of the metrics may take a while.