Free Access
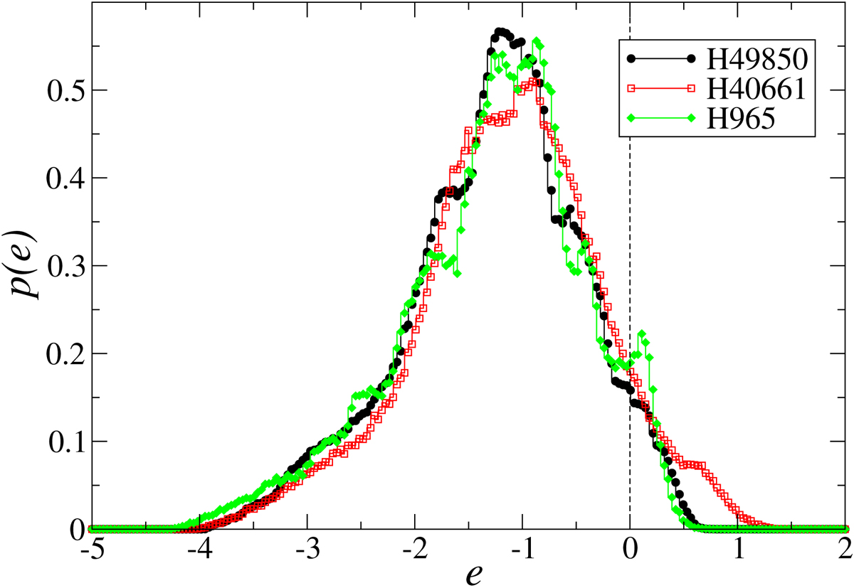
Fig. 18.

Particle energy distribution in the three largest Abacus halos. In this case the energy is normalized to e0 = Wm/M, where W is the total gravitational potential energy of the system at z = 0 (i.e., not the initial one), M is its mass, and m the particle mass.
Current usage metrics show cumulative count of Article Views (full-text article views including HTML views, PDF and ePub downloads, according to the available data) and Abstracts Views on Vision4Press platform.
Data correspond to usage on the plateform after 2015. The current usage metrics is available 48-96 hours after online publication and is updated daily on week days.
Initial download of the metrics may take a while.