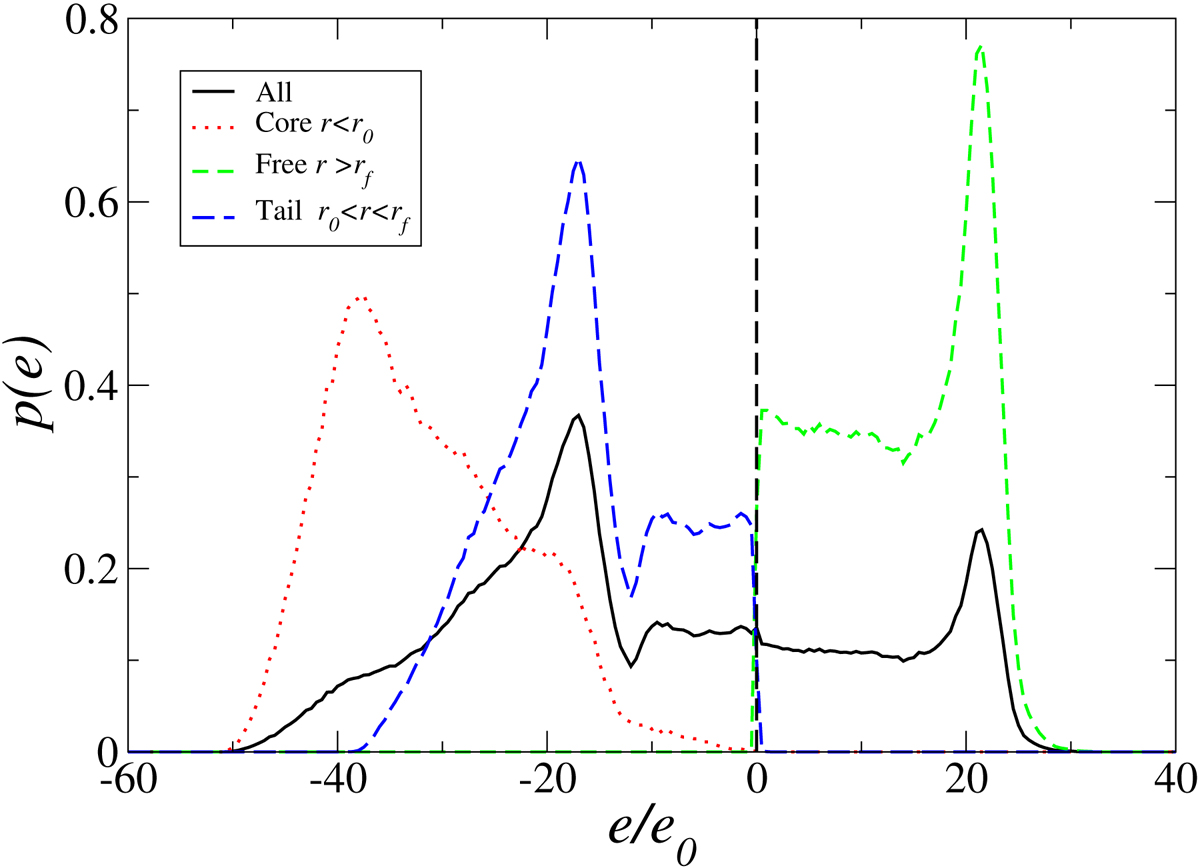
Fig. 2.

Particle energy distribution of the QSS at t = 9 Gyr in units of e0 (see Eq. (4)). The system after the collapse is made of three components: two form the QSS (tail and core) and the third, where e > 0, is made of “free” particles. The core is comprised of particles with radial distance r < r0; the free particles have positive energy or r > rf, where rf = rf(t) must be estimated from the numerical data.
Current usage metrics show cumulative count of Article Views (full-text article views including HTML views, PDF and ePub downloads, according to the available data) and Abstracts Views on Vision4Press platform.
Data correspond to usage on the plateform after 2015. The current usage metrics is available 48-96 hours after online publication and is updated daily on week days.
Initial download of the metrics may take a while.