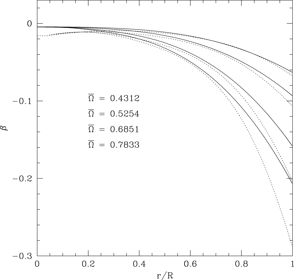
Fig. 1.

Coefficient β of the Legendre function P2(cos θ) as a function of the fractional radius for a 10 M⊙ star rotating at various rates. Solid lines represent the deformation from the Chandrasekhar-Milne’s expansion and dotted lines the deformation from 2D structure models. is the rotation frequency normalised by
where R is the mean radius.
increases from top to bottom in the figure.
corresponds to
at the equator as observed for HD 49330.
Current usage metrics show cumulative count of Article Views (full-text article views including HTML views, PDF and ePub downloads, according to the available data) and Abstracts Views on Vision4Press platform.
Data correspond to usage on the plateform after 2015. The current usage metrics is available 48-96 hours after online publication and is updated daily on week days.
Initial download of the metrics may take a while.