Free Access

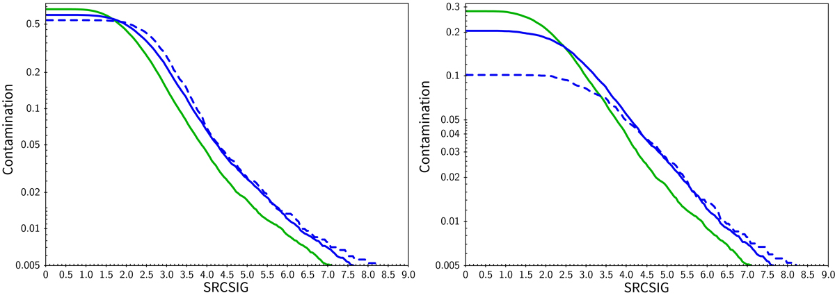
Fig. 4.

image

Contamination (Eq. (13) and Appendix C) when SRCSIG  ≥  x, in the cases of NPSNR >  3 (left) and NPSNR >  5 (right). The blue curves, solid for full sky (PCCS2+2E) and dashed for high Galactic latitudes (PCCS2), display the contamination for simulations when the “no sources” are located in the neighbourhood of actual catalogue positions. The original sources are masked and inpainted. The solid green line shows the estimated contamination of a simulation exactly like that of the solid blue curve (full sky), but this time the original sources are not removed and inpainted. In this figure and several others in this paper, we label the axis with the name of the corresponding field in the output of BeeP analysis (in capital roman letters), e.g., here “SRCSIG”.

Current usage metrics show cumulative count of Article Views (full-text article views including HTML views, PDF and ePub downloads, according to the available data) and Abstracts Views on Vision4Press platform.

Data correspond to usage on the plateform after 2015. The current usage metrics is available 48-96 hours after online publication and is updated daily on week days.

Initial download of the metrics may take a while.