Free Access

Fig. D.6.

image

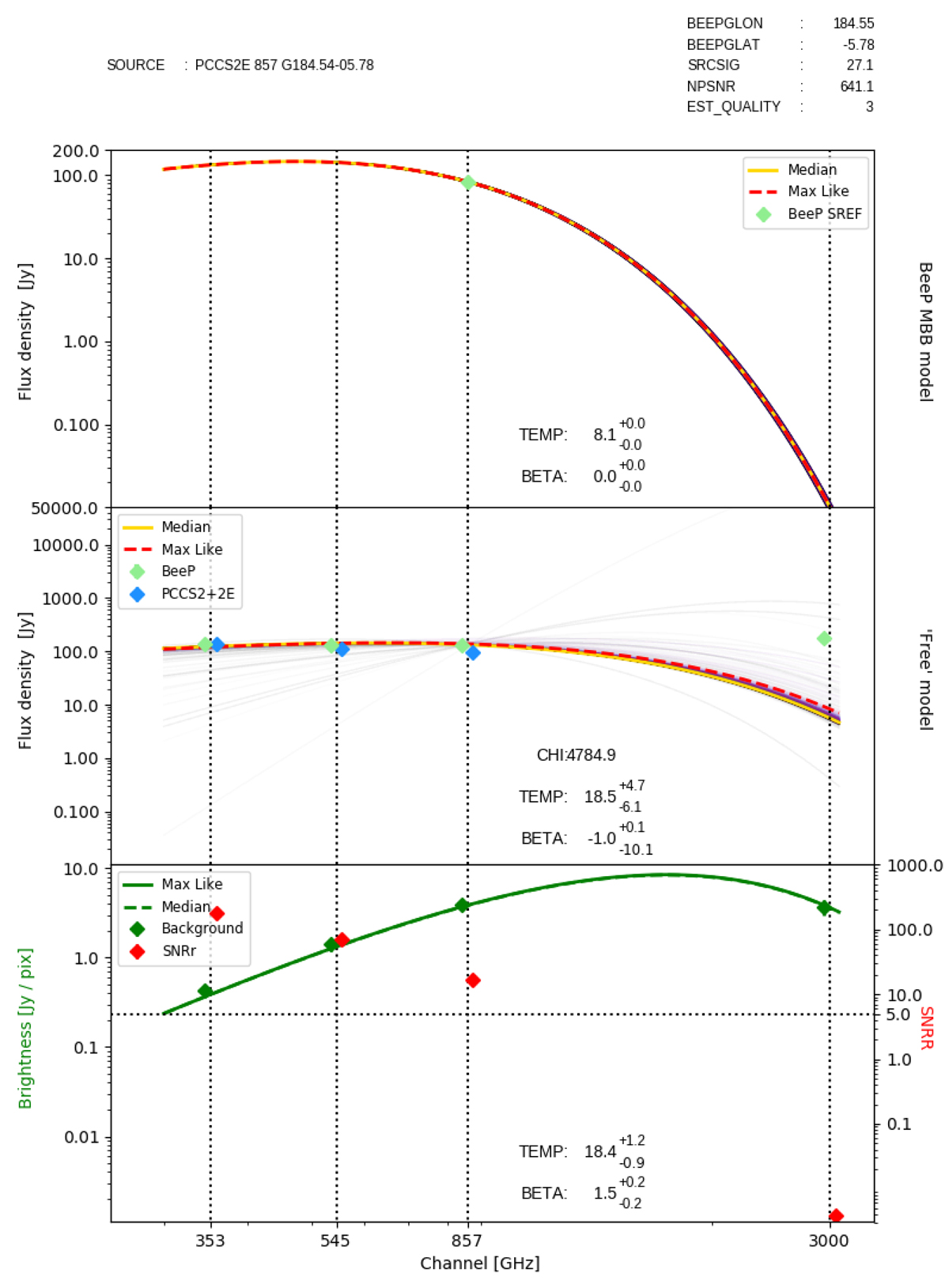
Results of BeeP analysis for M 1 (Crab Nebula). See the caption of Fig. 7 for a full description. This is a non-thermal source and BeeP has reduced EST_QUALITY accordingly; the full likelihood is not able to find a reasonable value for the SED parameters, in particular the spectral index. The Free model fit does find parameters, since it is less constrained, but the high χ2 value indicates a very poor fit.

Current usage metrics show cumulative count of Article Views (full-text article views including HTML views, PDF and ePub downloads, according to the available data) and Abstracts Views on Vision4Press platform.

Data correspond to usage on the plateform after 2015. The current usage metrics is available 48-96 hours after online publication and is updated daily on week days.

Initial download of the metrics may take a while.