Free Access

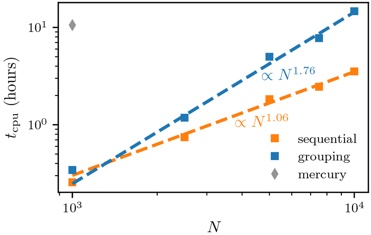
Fig. 6

image

Scaling of computational time with number of bodies. The setup is the same as in Sect. 3.1. The surface density is kept constant at 10 g cm−2. The number of planetesimals increases from 1000 to 10 000. Shown are the total computational time to integrate 104 yr with thesequential approach (sequential; orange), the group approach (grouping; blue), and, for comparison, with mercury (grey diamond). Also shown is a power-law fitting to find the scaling with N for our model (blue and orange lines).

Current usage metrics show cumulative count of Article Views (full-text article views including HTML views, PDF and ePub downloads, according to the available data) and Abstracts Views on Vision4Press platform.

Data correspond to usage on the plateform after 2015. The current usage metrics is available 48-96 hours after online publication and is updated daily on week days.

Initial download of the metrics may take a while.