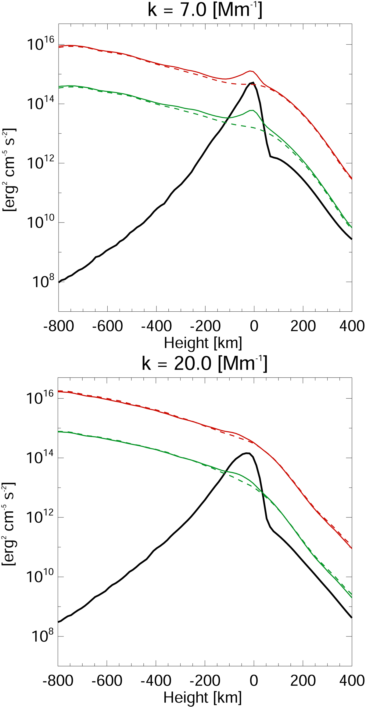
Fig. 6.

Height dependence of the different terms in the energy transport at a wavenumber of k = 7 Mm−1, corresponding to a wavelength of approximately 900 km, in the upper panel and k = 20 Mm−1, corresponding to a wavelength of approximately 312 km, in the lower panel. The solid black line shows the contribution from radiation, the solid (dashed) red line the vertical (horizontal) transport of the internal energy, and the solid (dashed) green curve the work done by the vertical (horizontal) pressure gradients.
Current usage metrics show cumulative count of Article Views (full-text article views including HTML views, PDF and ePub downloads, according to the available data) and Abstracts Views on Vision4Press platform.
Data correspond to usage on the plateform after 2015. The current usage metrics is available 48-96 hours after online publication and is updated daily on week days.
Initial download of the metrics may take a while.