Open Access

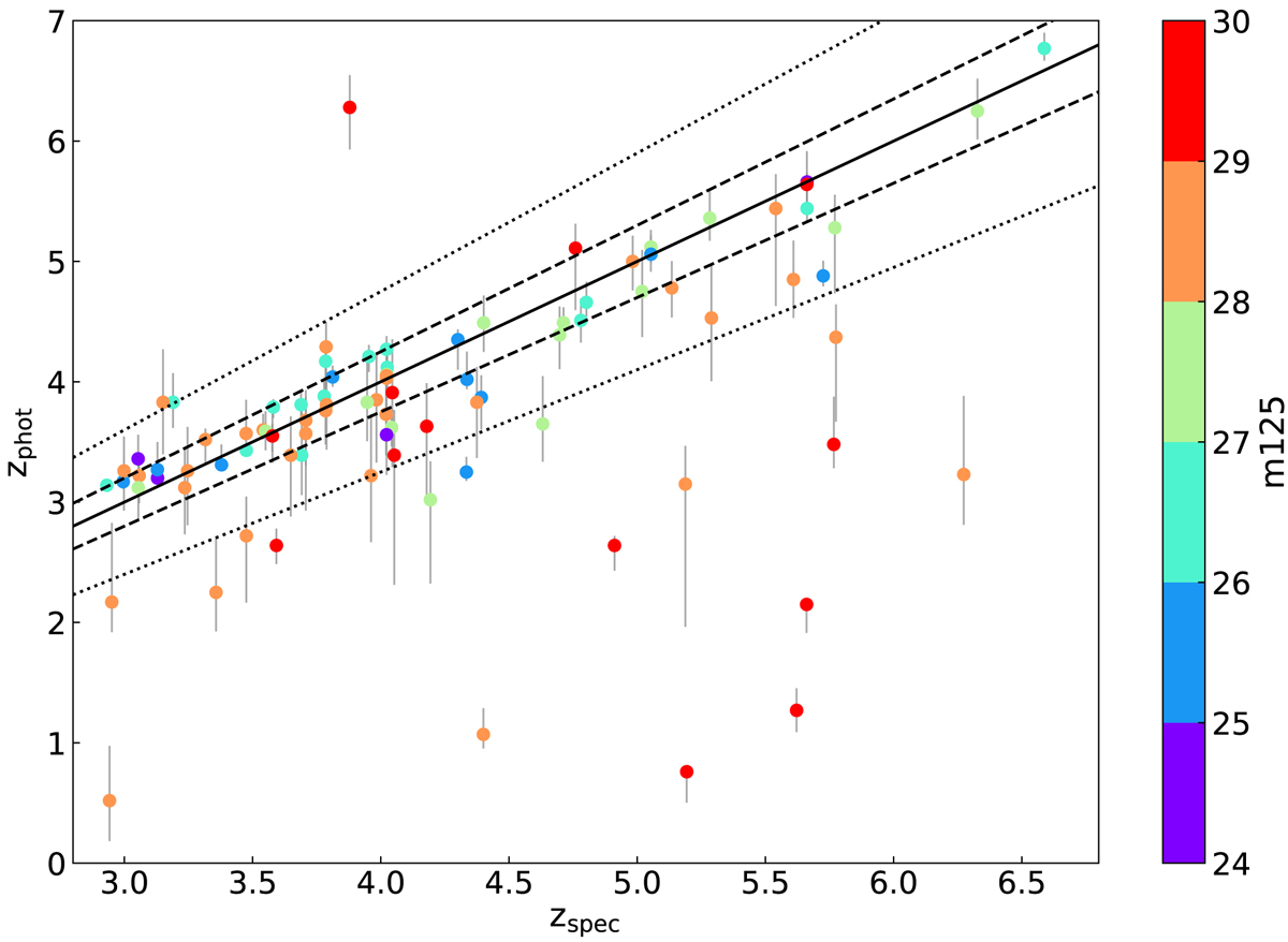
Fig. 1.

image

Comparison between photometric and spectroscopic redshifts for galaxies spectroscopically confirmed at z ∼ 3 − 7. Long-dashed and dashed lines display the locus of zphot = zspec ± 0.05(1 + z) and ±0.15(1 + z) respectively, and the solid black line is the one-to-one relation. Colors encode the observed magnitudes in the F125W filter, showing that the vast majority of galaxies with poor photometric redshifts have m(F125W) ≥ 28.

Current usage metrics show cumulative count of Article Views (full-text article views including HTML views, PDF and ePub downloads, according to the available data) and Abstracts Views on Vision4Press platform.

Data correspond to usage on the plateform after 2015. The current usage metrics is available 48-96 hours after online publication and is updated daily on week days.

Initial download of the metrics may take a while.