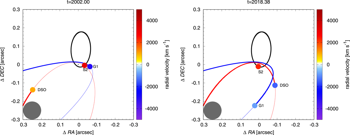
Fig. 1.

S2 star and known dusty objects close to its orbit. Left panel: position of S2 and the dusty source G1 close to the pericentre of S2 around 2002. We also show the orbit of the DSO (Dusty S-cluster Object, also known as G2). The points of the sources represent colour-coded radial velocities according to the axis on the right. The grey circle in the bottom left corner represents the diffraction limited FWHM of 98 mas corresponding to NACO L′-band. Right panel: position of S2 and dusty source G1 at the pericentre passage of S2 at 2018.38. The orbital parameters were adopted from Gravity Collaboration (2018a) (S2 star), Valencia-S et al. (2015) (DSO source), and Witzel et al. (2017) (G1 source).
Current usage metrics show cumulative count of Article Views (full-text article views including HTML views, PDF and ePub downloads, according to the available data) and Abstracts Views on Vision4Press platform.
Data correspond to usage on the plateform after 2015. The current usage metrics is available 48-96 hours after online publication and is updated daily on week days.
Initial download of the metrics may take a while.