Free Access

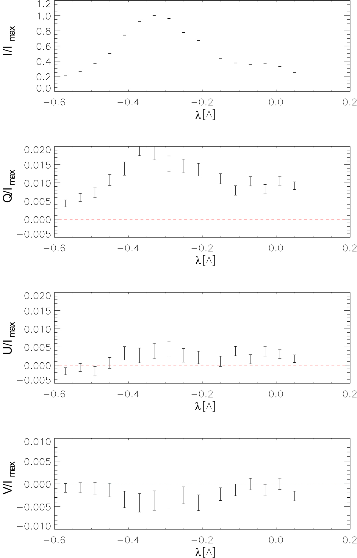
Fig. 4.

image

Example of measured Stokes profiles, normalized to the maximum intensity, of the He I D3 line observed on the prominence. The zero of the wavelength scale is at 5875.97 Å. A significant positive Stokes Q signal can be clearly observed. Weak U and V signals are also detected. However, the significance of the latter strongly depends on the accuracy of the cross-talk correction. The reference direction for positive Stokes Q was chosen to be parallel to the solar limb. Error bars represent the statistical photon noise uncertainty.

Current usage metrics show cumulative count of Article Views (full-text article views including HTML views, PDF and ePub downloads, according to the available data) and Abstracts Views on Vision4Press platform.

Data correspond to usage on the plateform after 2015. The current usage metrics is available 48-96 hours after online publication and is updated daily on week days.

Initial download of the metrics may take a while.