Fig. 1

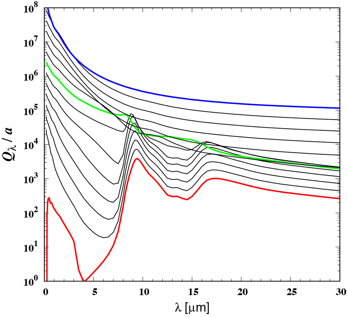
Absorption efficiency Qλ for a composite material of forsterite and metallic iron with varying volume fractions of iron from 0 to 60% in steps of 5%. The redline corresponds to pure forsterite, the green line to a volume fraction of iron of 35% at the border between insulator-like and metal-like absorption behaviour, and the blue line corresponds to pure iron. For clarity, successive lines are vertically shifted by a factor of two with respect to each other.
Current usage metrics show cumulative count of Article Views (full-text article views including HTML views, PDF and ePub downloads, according to the available data) and Abstracts Views on Vision4Press platform.
Data correspond to usage on the plateform after 2015. The current usage metrics is available 48-96 hours after online publication and is updated daily on week days.
Initial download of the metrics may take a while.