Free Access

Fig. 13

image

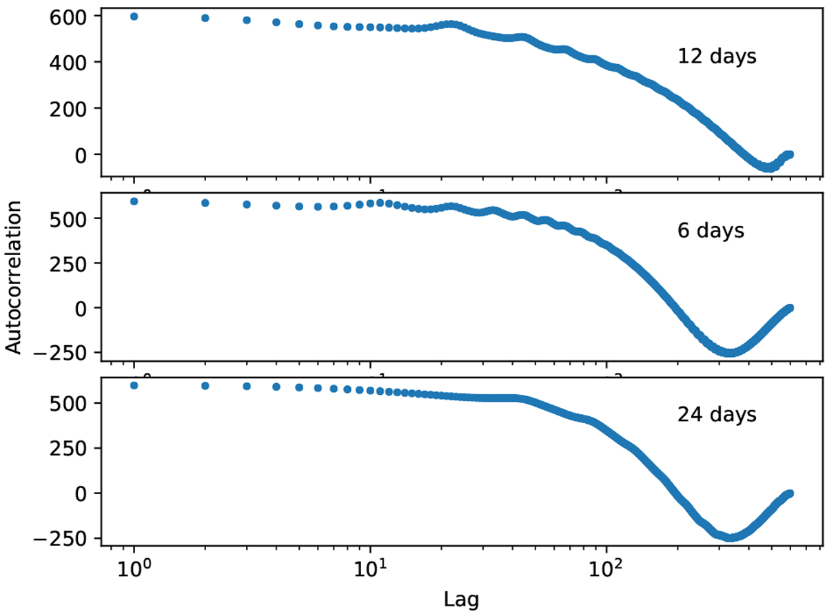
Top panel: same as Fig. 11, but from our simulated light curve and assumed spot lifetime of 12 days. Middle and bottom panels: collapsed Aij from our simulated light curves for spots with assumed lifetimes of 6 and 24 days, respectively.

Current usage metrics show cumulative count of Article Views (full-text article views including HTML views, PDF and ePub downloads, according to the available data) and Abstracts Views on Vision4Press platform.

Data correspond to usage on the plateform after 2015. The current usage metrics is available 48-96 hours after online publication and is updated daily on week days.

Initial download of the metrics may take a while.