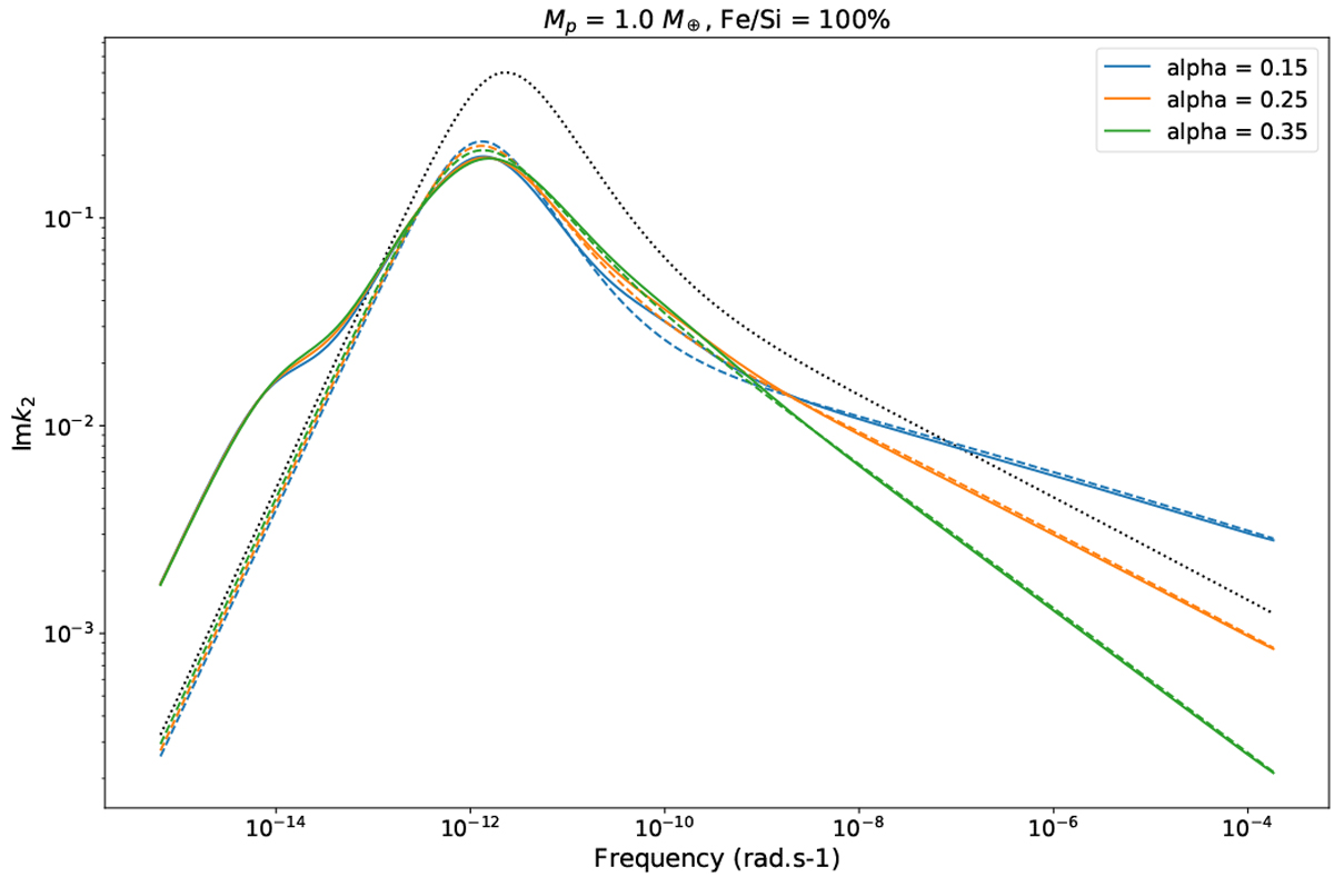
Fig. 6

Imaginary part of the Love number Imk2 as a function of the excitation frequency for an Earth-like planet (without ocean). Full lines: dissipation of a multi-layer body for three different α parameters (but α is the same for the different layers of these 3 cases). Dotted black line: dissipation of a homogeneous body for which we assumed the averaged value of the multi-layer profiles for shear modulus and viscosity (see Fig. 5). We also assumed a parameter α of 0.25 and assumed that the Maxwell Time is equal to the Andrade Time (ζ = 1). Dashed lines: best-fit dissipation of a homogeneous body for the three different α (the fitted values of shear modulus and viscosity are plotted in Fig. 5 and all fit parameters, including the ζ parameter, are listed in Table 2).
Current usage metrics show cumulative count of Article Views (full-text article views including HTML views, PDF and ePub downloads, according to the available data) and Abstracts Views on Vision4Press platform.
Data correspond to usage on the plateform after 2015. The current usage metrics is available 48-96 hours after online publication and is updated daily on week days.
Initial download of the metrics may take a while.