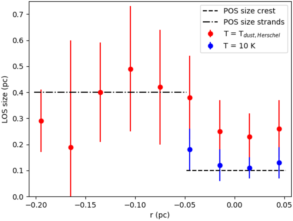
Fig. 17

Estimated characteristic size for the observed 13CO emission in the line of sight as a function of the distance (r) from the center of the filament crest. The characteristic size is estimated combining the Herschel column density with the 13CO(3–2)/13CO(2–1) density estimate using the Herschel dust temperature (red) and a temperature of 10 K (blue). The horizontal lines indicate the characteristic sizes in the plane of the sky (POS) of the strands and the filament crest.
Current usage metrics show cumulative count of Article Views (full-text article views including HTML views, PDF and ePub downloads, according to the available data) and Abstracts Views on Vision4Press platform.
Data correspond to usage on the plateform after 2015. The current usage metrics is available 48-96 hours after online publication and is updated daily on week days.
Initial download of the metrics may take a while.