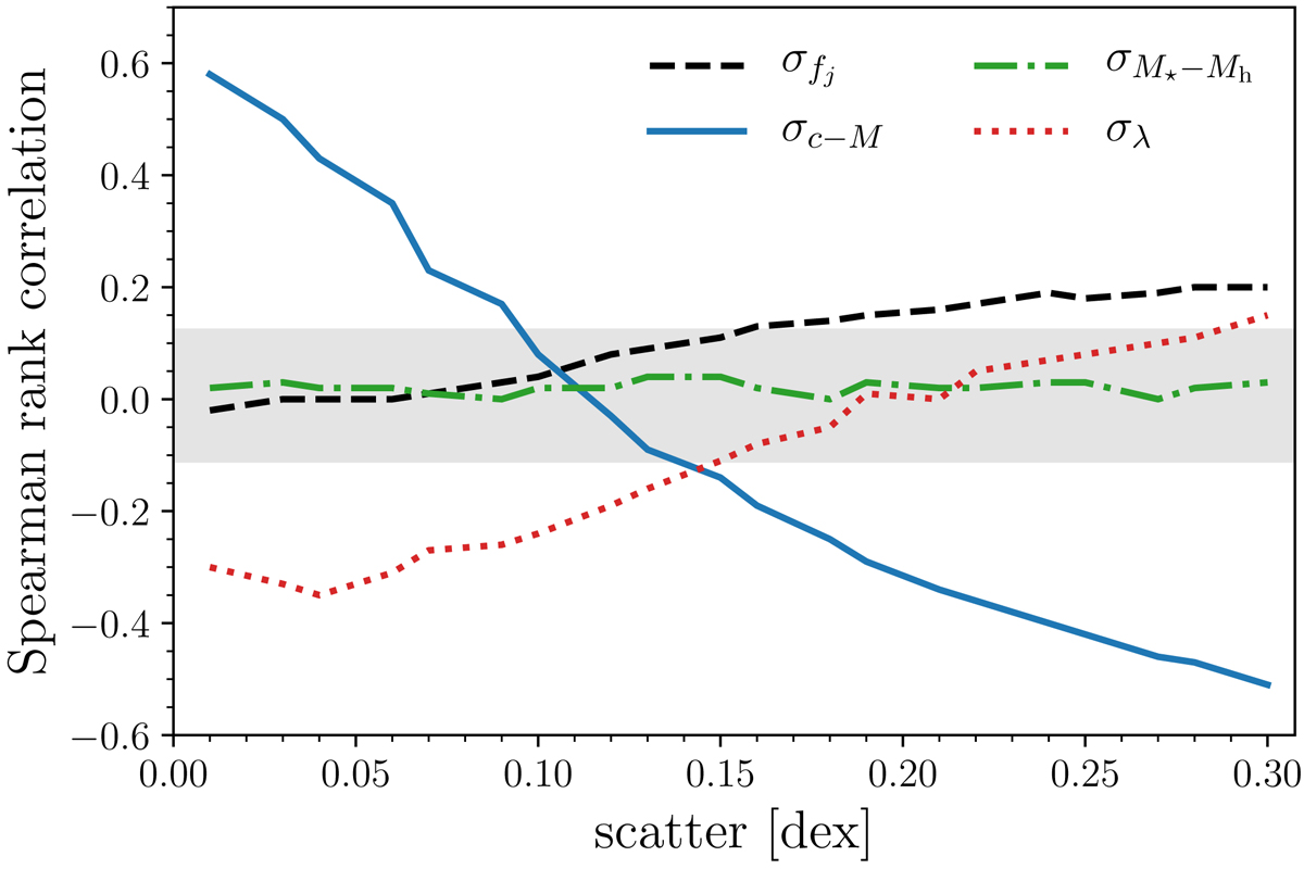
Fig. 3.

Effect of varying the four intrinsic scatters of our model, σM⋆ − Mh, σc − M, σfj, σλ, on the Spearman correlation coefficient of the residuals of the TF versus MS. Each curve was computed by varying only one scatter at a time, while leaving the others fixed to their fiducial values. The grey band shows the 1-σ uncertainty (estimated with a bootstrap) of the correlation of the observed residuals of the TF vs. MS in SPARC.
Current usage metrics show cumulative count of Article Views (full-text article views including HTML views, PDF and ePub downloads, according to the available data) and Abstracts Views on Vision4Press platform.
Data correspond to usage on the plateform after 2015. The current usage metrics is available 48-96 hours after online publication and is updated daily on week days.
Initial download of the metrics may take a while.