Free Access
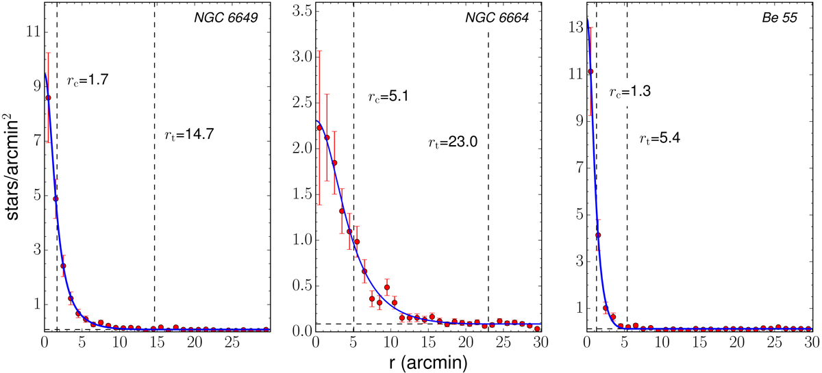
Fig. 7.

Projected density distribution around the clusters studied in this work. Red circles are the observed values together with the Poisson errors whereas the blue line shows the fitted King profile. Vertical dashed lines represents the core (rc) and tidal (rt) radii while the horizontal one is the background density.
Current usage metrics show cumulative count of Article Views (full-text article views including HTML views, PDF and ePub downloads, according to the available data) and Abstracts Views on Vision4Press platform.
Data correspond to usage on the plateform after 2015. The current usage metrics is available 48-96 hours after online publication and is updated daily on week days.
Initial download of the metrics may take a while.