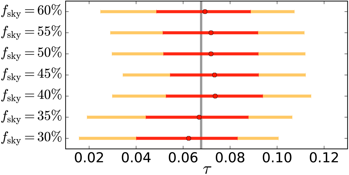
Fig. 9.

Estimates of τ from the LFI 70 GHz map analysed in different masks. In this and in the following plots, the points represent the best-fit values and the red and yellow bars represent the 68% and 95% C.L., respectively. The vertical grey line represents the best-fit value for the WMAP+LFI baseline dataset, which uses 54% of the sky; see text for details.
Current usage metrics show cumulative count of Article Views (full-text article views including HTML views, PDF and ePub downloads, according to the available data) and Abstracts Views on Vision4Press platform.
Data correspond to usage on the plateform after 2015. The current usage metrics is available 48-96 hours after online publication and is updated daily on week days.
Initial download of the metrics may take a while.