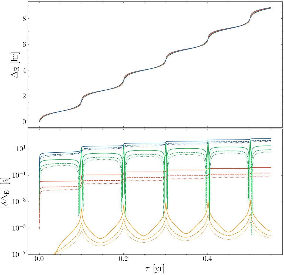
Fig. 2.

Top panel: Einstein delay given by the 4 solutions (1 PK + 3 GR) from an MSP orbiting the Galactic centre BH in the equatorial plane at a range of difference eccentricities. The BH mass is set as 4.31 × 106 M⊙, with spin parameter a + 0.6. The delay accumulates up to 2 hrs after one orbital period, with rapid variations as the pulsar goes through periapsis. Bottom panel: differences between the respective solutions δα, 1(ΔE) (blue),δα, 2(ΔE) (red), δβ(ΔE) (green), δγ(ΔE) (orange) at eccentricities e = 0.9, 0.8, 0.7 (solid, dashed, dotted lines respectively).
Current usage metrics show cumulative count of Article Views (full-text article views including HTML views, PDF and ePub downloads, according to the available data) and Abstracts Views on Vision4Press platform.
Data correspond to usage on the plateform after 2015. The current usage metrics is available 48-96 hours after online publication and is updated daily on week days.
Initial download of the metrics may take a while.