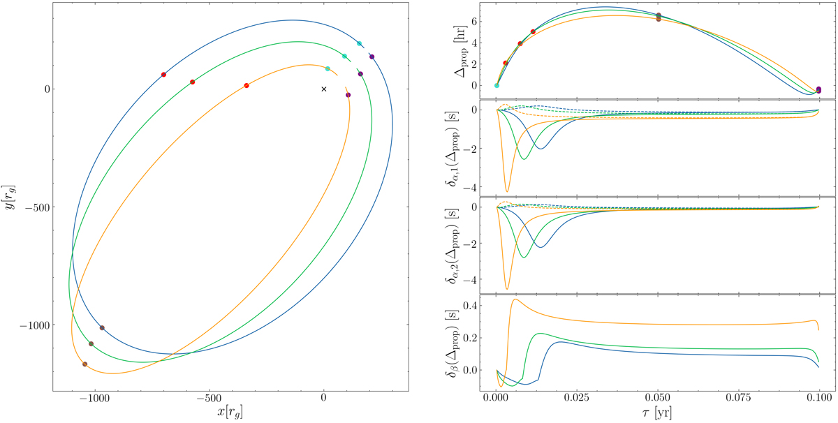
Fig. 3.

Left panel: orbital trajectories of a Galactic centre MSP with a* = 825rg, i = 76°, ω = Ω = π/4 and eccentricities e = 0.7, 0.8, 0.9 (blue, green, orange lines respectively). The scatter points are included as a reference for the right panels and label the initial, final, middle and superior conjunction sample points (turquoise, purple, brown, red respectively). The black cross labels the BH singularity. Right panels: propagation timing delay for each of the eccentric orbits, along with the errors between the PK and relativistic solutions (δα, i(Δprop), δβ(Δprop)). For the middle two panels the dashed lines show the residual when the PK lensing correction is included (see also Fig. 5). Significant timing residuals are present between both δα, i(Δprop), δβ(Δprop) relative to typical radio pulsar timing precision.
Current usage metrics show cumulative count of Article Views (full-text article views including HTML views, PDF and ePub downloads, according to the available data) and Abstracts Views on Vision4Press platform.
Data correspond to usage on the plateform after 2015. The current usage metrics is available 48-96 hours after online publication and is updated daily on week days.
Initial download of the metrics may take a while.