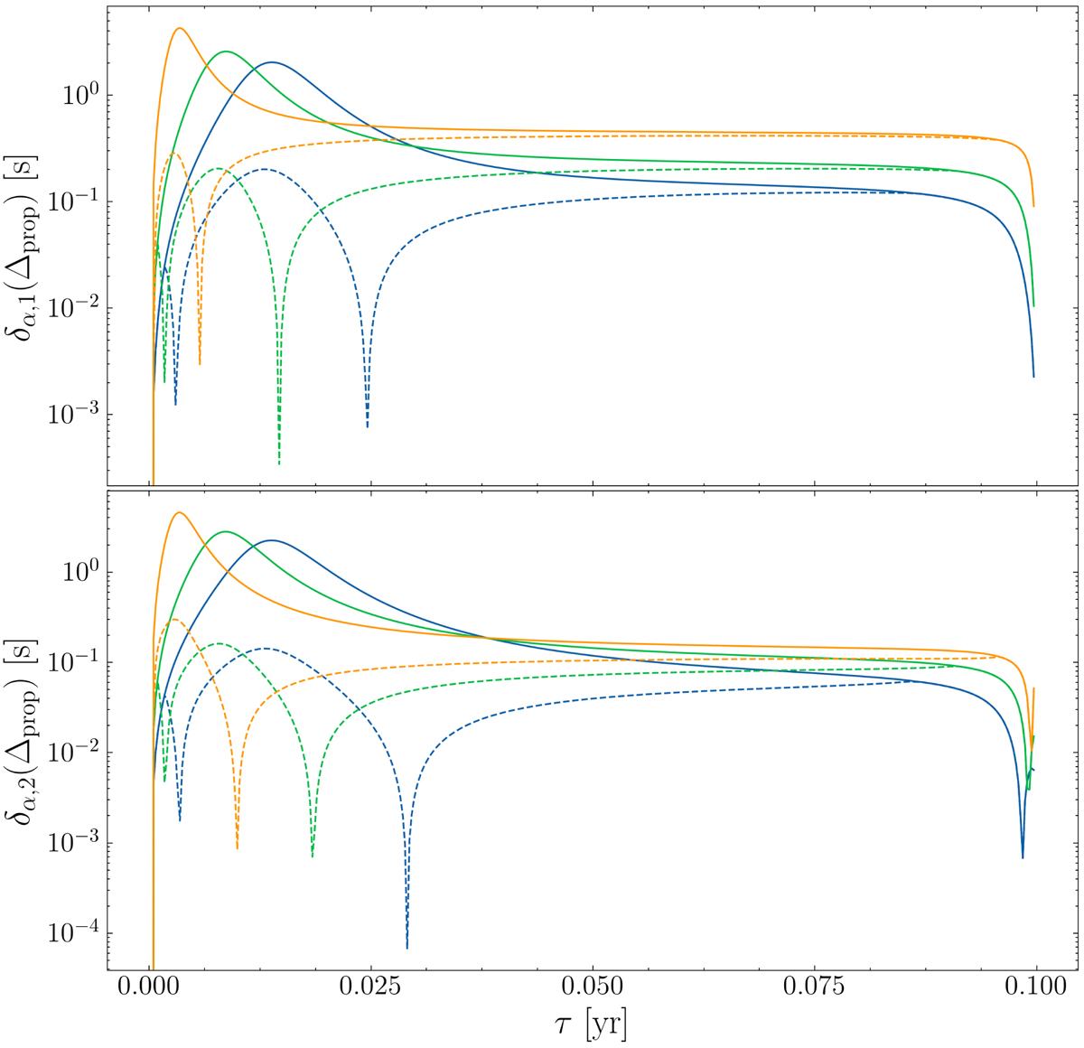
Fig. 5.

Enhanced view of the two middle right panels of Fig. 3. Error between the PK and Schwarzschild propagation delays δα, i(Δprop), for each of the eccentric systems when lensing corrections are included (dashed lines) and without. Lensing significantly improves the solution, but marked residuals remain. The typical magnitude of δα, 2(Δprop) are less than δα, 1(Δprop), but even in the case where we consider the second order solution with lensing, significant timing discrepancies are present.
Current usage metrics show cumulative count of Article Views (full-text article views including HTML views, PDF and ePub downloads, according to the available data) and Abstracts Views on Vision4Press platform.
Data correspond to usage on the plateform after 2015. The current usage metrics is available 48-96 hours after online publication and is updated daily on week days.
Initial download of the metrics may take a while.