Highlight
Free Access

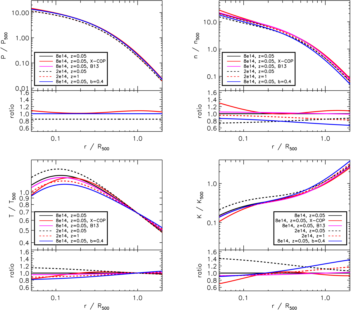
Fig. 1.

image

Reconstructed thermodynamic radial profiles for objects with (M500, z) = (8 × 1014M, 0.05), black solid line; the same, but using a pressure profile from X-COP, red solid line, the B13 c − M − z relation, purple solid line; or assuming a hydrostatic bias b = 0.4, blue solid line; (M500, z) = (2 × 1014M, 0.05), black dashed line; (2 × 1014M, 1), red dashed line. The ratio is shown with respect to the reference case, black solid line, M500 = 8 × 1014M and z = 0.05. P500, n500, T500, K500 refer to the normalisation values presented in Table 1.

Current usage metrics show cumulative count of Article Views (full-text article views including HTML views, PDF and ePub downloads, according to the available data) and Abstracts Views on Vision4Press platform.

Data correspond to usage on the plateform after 2015. The current usage metrics is available 48-96 hours after online publication and is updated daily on week days.

Initial download of the metrics may take a while.