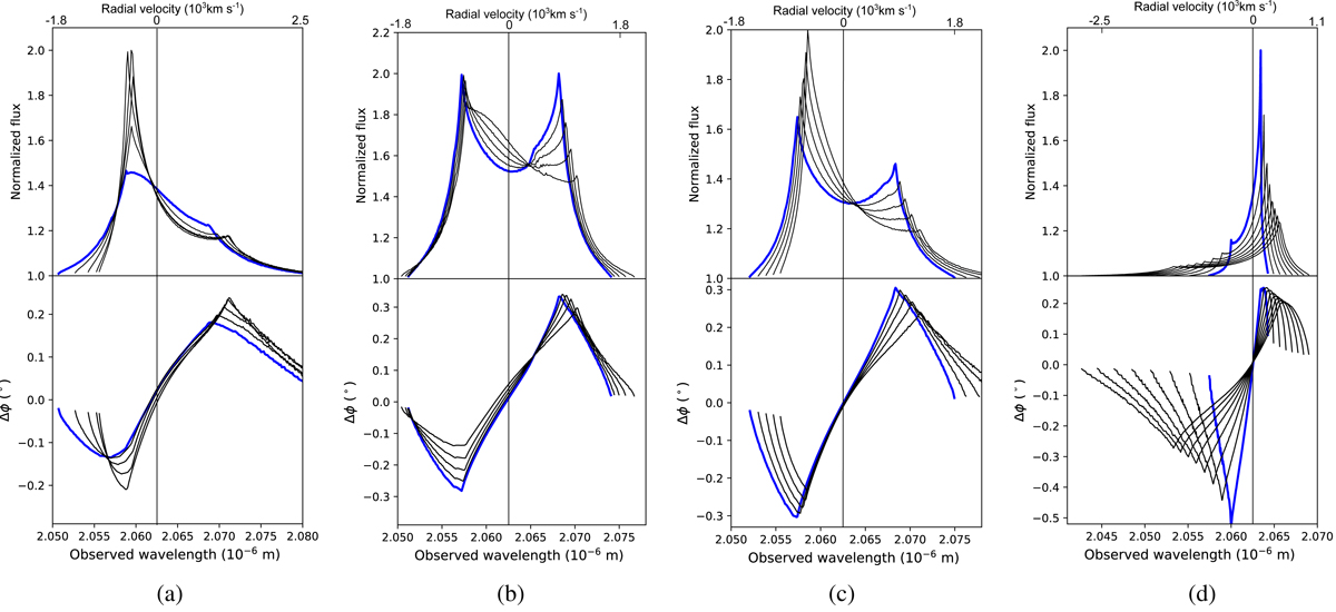
Fig. B.1.

Evolution of the Paα emission line (upper subplots) and corresponding differential phase (Δϕ, lower subplots) as a function of the wavelength and radial velocity for different values of the clouds’ orbital parameters in the model of single SMBH. Model parameters are given in the sub-captions. (a) Ωc ∈ 𝒰(10° ,90° ), ωc = 110°, ic ∈ 𝒰(−5° ,5° ), ec = 0.5, i0 = 45°, (b) ic = 𝒰(−5° ,5° ), Ωc = 100°, ωc = 10°, i0 = 45°, ec = 𝒰(0.1, 0.5), (c) ic = 𝒰(−5° ,5° ), Ωc = 100°, ωc = 110°, i0 = 45°, ec = 𝒰(0.1, 0.5), (d) ic = 𝒰(−5° ,5° ), Ωc = 100°, ec = 0.5, ωc = 270°, i0 = 𝒰(10° ,45° ).
Current usage metrics show cumulative count of Article Views (full-text article views including HTML views, PDF and ePub downloads, according to the available data) and Abstracts Views on Vision4Press platform.
Data correspond to usage on the plateform after 2015. The current usage metrics is available 48-96 hours after online publication and is updated daily on week days.
Initial download of the metrics may take a while.