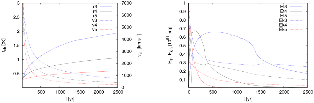
Fig. 2

One-dimensional FLASH simulations. Left panel: time evolution of the position of the forward shock, rsh (r3, r4, r5), and of its expansion velocity, vsh (v3, v4, v5). Right panel: time evolution of the thermal energy inside the shock, Eth (Et3, Et4, Et5), and of the kinetic energy of the shock, Ekin (Ek3, Ek4, Ek5). Individual quantities are labeled with the value of the power index of the ISM density nout = 103, 104, and 105 cm−3.
Current usage metrics show cumulative count of Article Views (full-text article views including HTML views, PDF and ePub downloads, according to the available data) and Abstracts Views on Vision4Press platform.
Data correspond to usage on the plateform after 2015. The current usage metrics is available 48-96 hours after online publication and is updated daily on week days.
Initial download of the metrics may take a while.