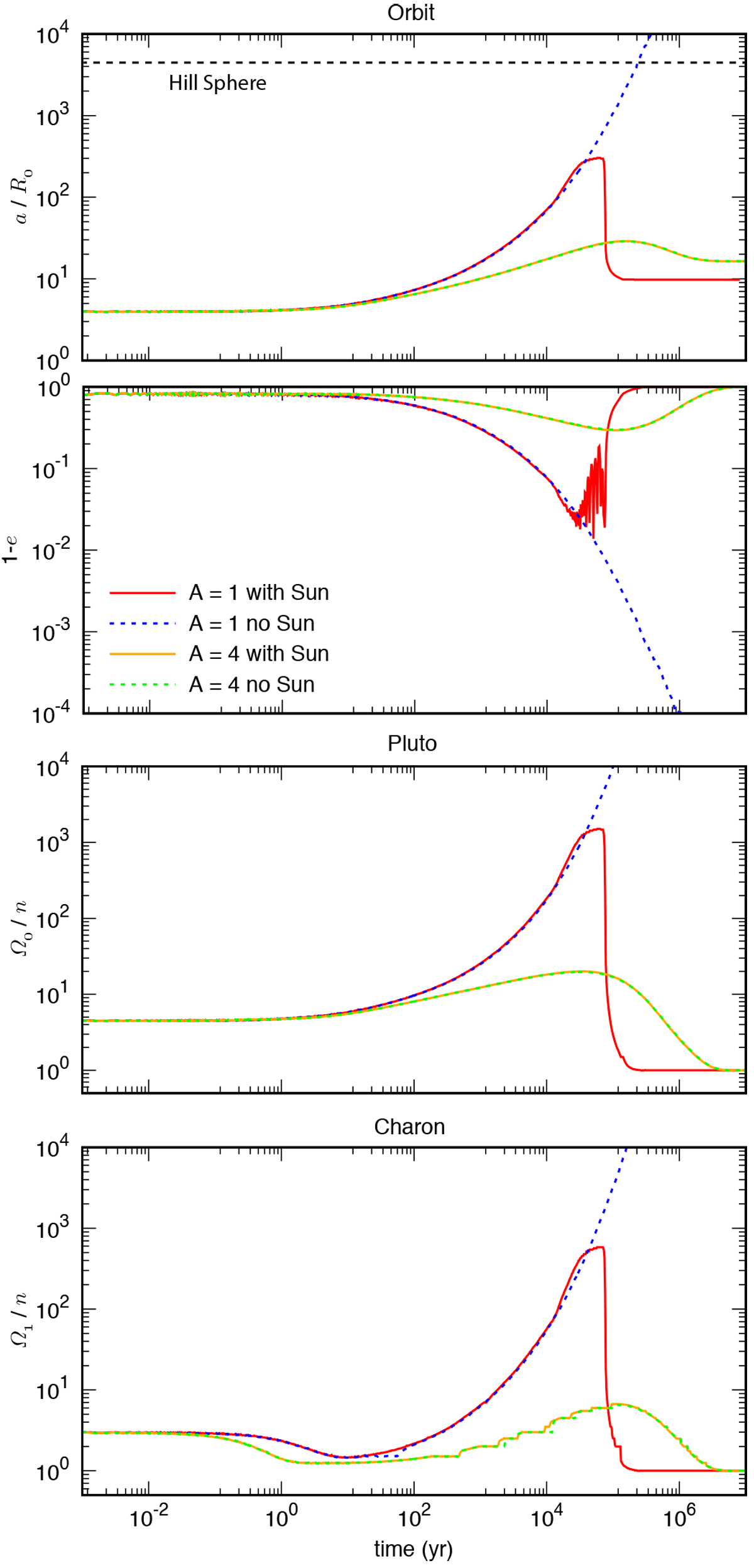
Fig. 3

Tidal evolution of the Pluto–Charon binary for different values of the tidal parameter A, with initial θ0 ≈ 0° and orbit #1 (Table 1). We show the evolution obtained including the presence of the Sun (solid line) and withoutthe presence of the Sun (dashed line). We plot the evolution of the semi-major axis and eccentricity (top), the rotation of Pluto (middle), and the rotation of Charon (bottom) on a log scale.
Current usage metrics show cumulative count of Article Views (full-text article views including HTML views, PDF and ePub downloads, according to the available data) and Abstracts Views on Vision4Press platform.
Data correspond to usage on the plateform after 2015. The current usage metrics is available 48-96 hours after online publication and is updated daily on week days.
Initial download of the metrics may take a while.