Free Access

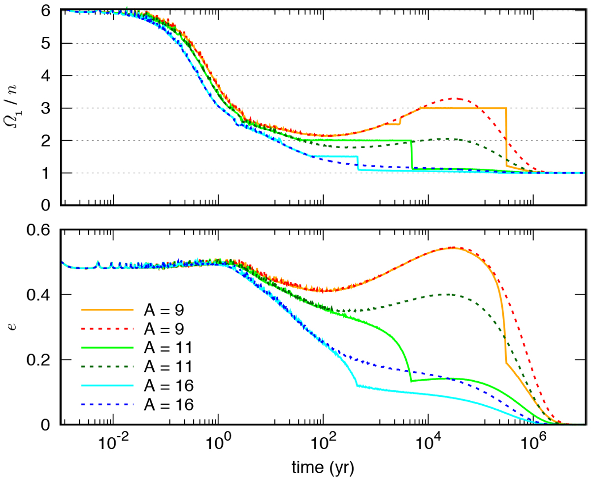
Fig. 8

image

Tidal evolution of the Pluto–Charon binary for different values of the tidal parameter A and permanent deformation, with initial θ0 ≈ 0° and orbit #2 (Table 1). We show the evolution of Charon’s rotation rate (top) and eccentricity (bottom). Solid lines correspond to J2 = 6 × 10−5 and C22 = 10−5, and dashed lines to J2 = C22 = 0.

Current usage metrics show cumulative count of Article Views (full-text article views including HTML views, PDF and ePub downloads, according to the available data) and Abstracts Views on Vision4Press platform.

Data correspond to usage on the plateform after 2015. The current usage metrics is available 48-96 hours after online publication and is updated daily on week days.

Initial download of the metrics may take a while.