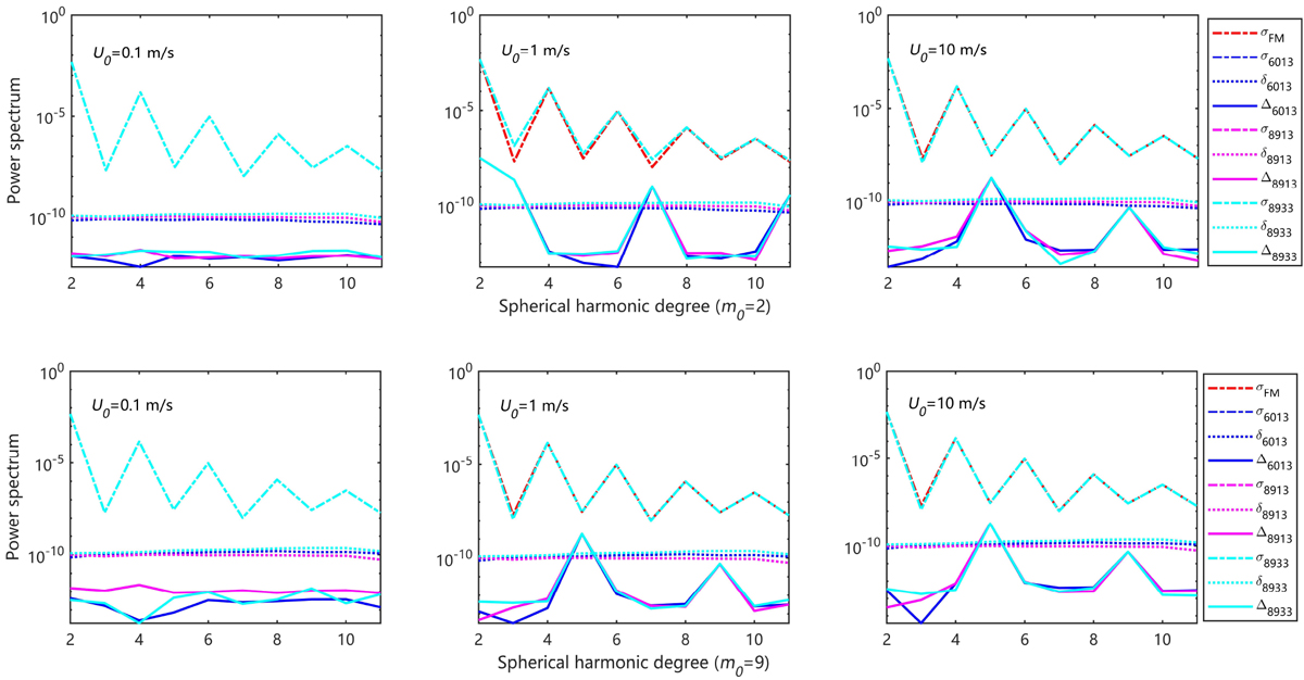
Fig. 7

Degree-wise spectra of RMS quantities σn, δn, and Δn for several specified cases. Top panels: plot the strong-field dynamo category (m0 = 2), and bottom three panels: weak-field dynamo category (m0 = 9). The panel columns are permuted from left to right in ascending order of the convective strength
. In the curve legends, each subscript labels a respective mission simulation schedule. 6013 denotes the 60° orbital inclination angle, 1000 km altitude, and three-month tracking time. 8913 denotes the 89° orbital inclination angle, 1000 km altitude, and three-month tracking time. 8933 also denotes the 89° orbital inclination angle, 3000 km altitude, and three-month tracking time. The label “FM” is the abbreviation for “forward model”, which means that σn is computed from
and
. Here Δn is always calculated between mission solutions and the given gravitational field models, as given in Tables 1–3.
Current usage metrics show cumulative count of Article Views (full-text article views including HTML views, PDF and ePub downloads, according to the available data) and Abstracts Views on Vision4Press platform.
Data correspond to usage on the plateform after 2015. The current usage metrics is available 48-96 hours after online publication and is updated daily on week days.
Initial download of the metrics may take a while.