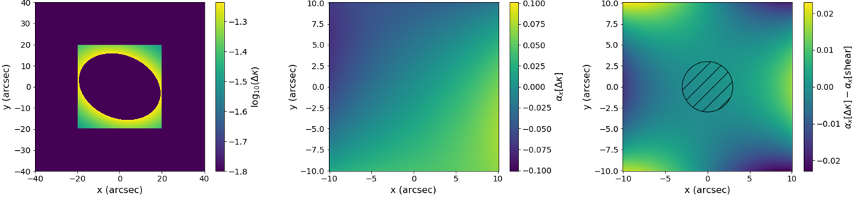
Fig. 4.

Comparison of the excess deflection appearing for a squared truncation with deflection associated to a shear. Left: Δκ map for a squared truncation and underlying NIE density profile. Middle: αx map created using FFT convolution for Eq. (6) using Δκ. Right: difference between αx map created using Δκ (middle) and αx map from a shear; the hatched region is the 3″-radius region where the lensed images are formed.
Current usage metrics show cumulative count of Article Views (full-text article views including HTML views, PDF and ePub downloads, according to the available data) and Abstracts Views on Vision4Press platform.
Data correspond to usage on the plateform after 2015. The current usage metrics is available 48-96 hours after online publication and is updated daily on week days.
Initial download of the metrics may take a while.