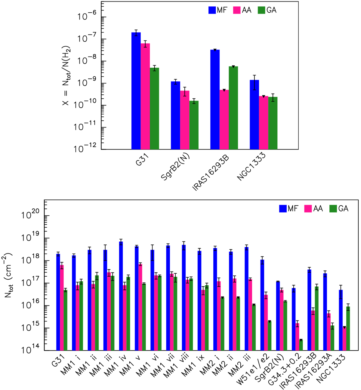
Fig. 13

Upper panel: abundances wrt H2 for the sources with an estimate in Table 8. For G31, the values of X(AA) given in the figure have been calculated from the mean value of the observed range in column density 4.3 × 1017−8.4 × 1017cm−2, while the error bars cover the entire range. For IRAS 16293 B, the value of N(H2) is a lower limit, leading to upper limits on the abundances, but not affecting the ratios between abundances. Lower panel: ratio of the column densities of the three isomers of C2 H4O2 for the sources listed in Table 8. For G31, the values of MF/AA and AA/GA have been calculated using the mean value of the observed range 4.3 × 1017−8.4 × 1017cm−2 for AA, while the error bars cover the ratios given by entire range. The sources labelled as MM1 i-viii and MM2 i-iii refer to NGC 6334I MM1, and NGC 6334I MM2, while the source labelled as NGC 1333 is NGC 1333 IRAS 4A.
Current usage metrics show cumulative count of Article Views (full-text article views including HTML views, PDF and ePub downloads, according to the available data) and Abstracts Views on Vision4Press platform.
Data correspond to usage on the plateform after 2015. The current usage metrics is available 48-96 hours after online publication and is updated daily on week days.
Initial download of the metrics may take a while.