Free Access

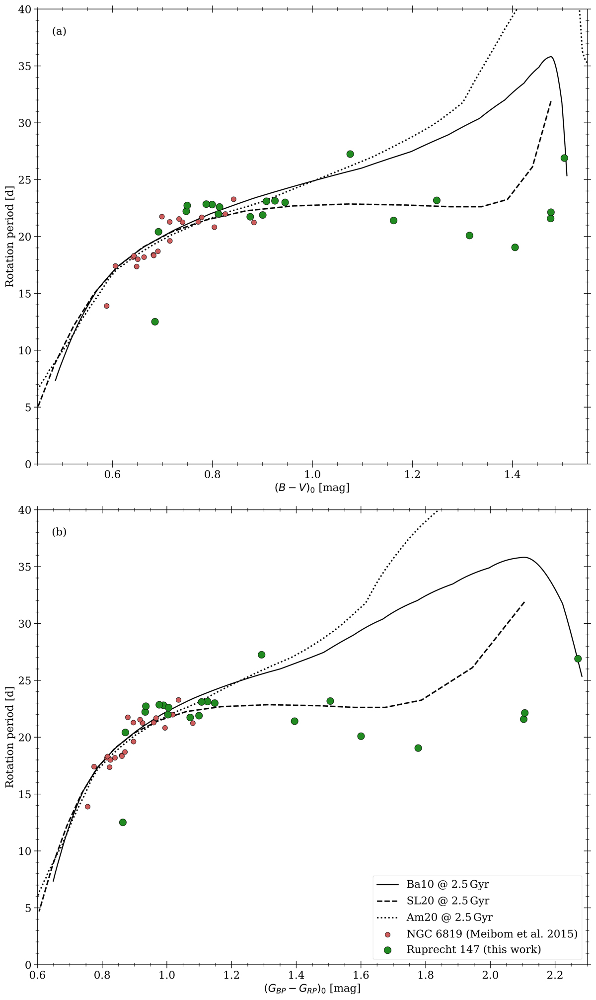
Fig. 12.

image

Comparison between the rotation period distributions in Ru 147 (green), NGC 6819 (red), and rotational isochrones for 2.5 Gyr from Amard et al. (2019, dotted), Barnes (2010, solid), and Spada & Lanzafame (2020, dashed). The Spada & Lanzafame (2020) models come closest to the measured Ru 147 rotation periods in the mid-K to mid-M region, with a relatively flat morphology in the K star region and an upturn among the early M stars.

Current usage metrics show cumulative count of Article Views (full-text article views including HTML views, PDF and ePub downloads, according to the available data) and Abstracts Views on Vision4Press platform.

Data correspond to usage on the plateform after 2015. The current usage metrics is available 48-96 hours after online publication and is updated daily on week days.

Initial download of the metrics may take a while.