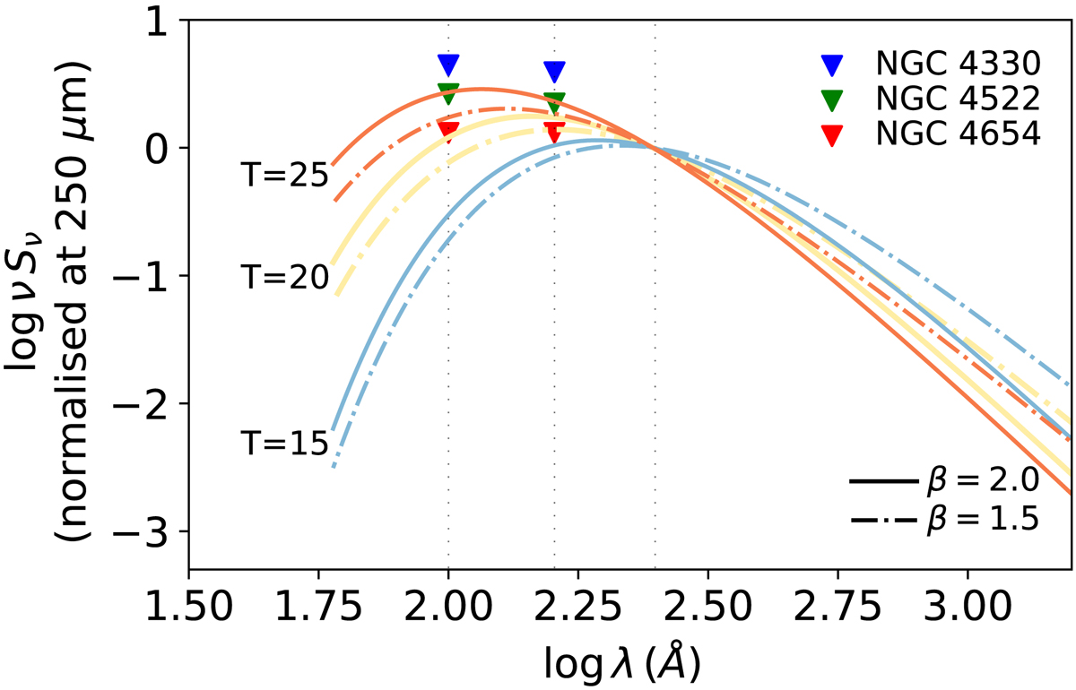
Fig. 5.

Dust emission simulated using the modified blackbody law for 15 K (blue lines), 20 K (yellow lines), and 25 K (red lines) dust grains. The dust emission assuming a single spectral index of β = 2.0 (continuous lines) and β = 1.5 (dotted-dashed line) are also represented. The curves were normalised at 250 μm. The upper limits of the normalised flux densities at 100 μm and 160 μm measured in the tails of NGC 4330, NGC 4522, and NGC 4654 are shown as blue, green, and red downward pointing triangles, respectively. Dotted vertical lines identify 100 μm, 160 μm, and 250 μm.
Current usage metrics show cumulative count of Article Views (full-text article views including HTML views, PDF and ePub downloads, according to the available data) and Abstracts Views on Vision4Press platform.
Data correspond to usage on the plateform after 2015. The current usage metrics is available 48-96 hours after online publication and is updated daily on week days.
Initial download of the metrics may take a while.