Free Access
Fig. 7

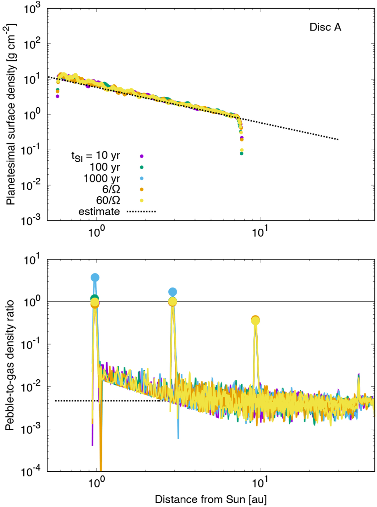
Same as Fig. 5 but with different timescale of streaming instability. The purple, green, light blue, orange, and yellow plots represent the profiles with tSI = 10, 100, 1000 yr, and 6∕ΩK and 60∕ΩK yr, respectively, with Ṁpeb = 10−4 ME yr−1 and the normal migration speed in Disc A.
Current usage metrics show cumulative count of Article Views (full-text article views including HTML views, PDF and ePub downloads, according to the available data) and Abstracts Views on Vision4Press platform.
Data correspond to usage on the plateform after 2015. The current usage metrics is available 48-96 hours after online publication and is updated daily on week days.
Initial download of the metrics may take a while.