Open Access
Fig. 9.

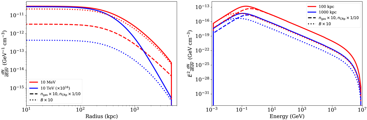
Left: profile of the CRe2, taken at 10 MeV and 10 TeV (after applying a multiplicative factor of 1015). Right: spectrum of the secondary electron at 100 and 1000 kpc.
Current usage metrics show cumulative count of Article Views (full-text article views including HTML views, PDF and ePub downloads, according to the available data) and Abstracts Views on Vision4Press platform.
Data correspond to usage on the plateform after 2015. The current usage metrics is available 48-96 hours after online publication and is updated daily on week days.
Initial download of the metrics may take a while.