Open Access

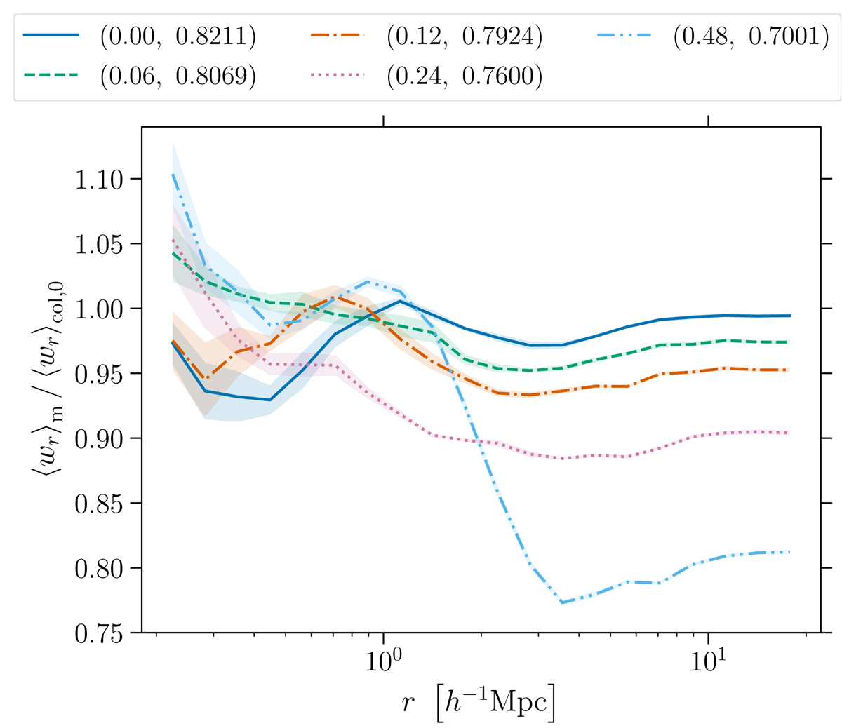
Fig. 7.

image

Ratio between the mean pairwise velocity of matter (for various sums of neutrino mass) and for a massless collisionless matter only at z = 0 in the BAHAMAS suite of simulations. The line styles correspond to different neutrino mass simulations with varying (Mν, σ8), and Mν is given in units of eV.

Current usage metrics show cumulative count of Article Views (full-text article views including HTML views, PDF and ePub downloads, according to the available data) and Abstracts Views on Vision4Press platform.

Data correspond to usage on the plateform after 2015. The current usage metrics is available 48-96 hours after online publication and is updated daily on week days.

Initial download of the metrics may take a while.