Open Access

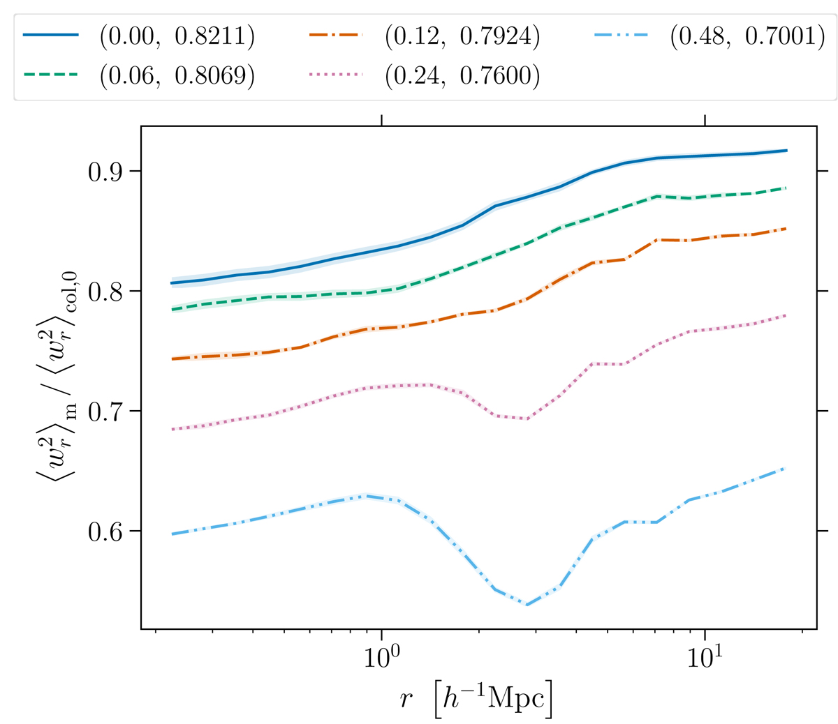
Fig. 9.

image

Ratio between second moment of the pairwise velocity of matter (for various sums of neutrino mass) from hydrodynamical simulations and the matter from the collisionless simulation with massless neutrinos at z = 0 in the BAHAMAS suite of simulations. The line styles correspond to variations in (Mν, σ8), with Mν given in units of eV.

Current usage metrics show cumulative count of Article Views (full-text article views including HTML views, PDF and ePub downloads, according to the available data) and Abstracts Views on Vision4Press platform.

Data correspond to usage on the plateform after 2015. The current usage metrics is available 48-96 hours after online publication and is updated daily on week days.

Initial download of the metrics may take a while.